EX-99.3
Published on March 28, 2025

DAGGETT RENEWABLE HOLDCO LLC AND SUBSIDIARIES Consolidated Financial Statements December 31, 2023 (With Report of Independent Auditors)

DAGGETT RENEWABLE HOLDCO LLC AND SUBSIDIARIES Table of Contents Page Report of Independent Auditors 1 Consolidated Balance Sheet — December 31, 2023 3 Consolidated Statement of Operations — Period from February 17, 2023 through December 31, 2023 4 Consolidated Statement of Equity — Period from February 17, 2023 through December 31, 2023 5 Consolidated Statement of Cash Flows — Period from February 17, 2023 through December 31, 2023 6 Notes to Consolidated Financial Statements 7

Ernst & Young, LLP One Commerce Square, Suite 700, Philadelphia, Pennsylvania 19103 Tel: 215 448 5000 Fax: 215 448 4069 ey.com Report of Independent Auditors The Members Daggett Renewable Holdco LLC Opinion We have audited the consolidated financial statements of Daggett Renewable Holdco LLC and subsidiaries (the Company), which comprise the consolidated balance sheet as of December 31, 2023, and the related consolidated statements of operations, equity and cash flows for the period from February 17, 2023 through December 31, 2023, and the related notes (collectively referred to as the “financial statements”). In our opinion, the accompanying financial statements present fairly, in all material respects, the financial position of the Company at December 31, 2023, and the results of its operations and its cash flows for the period from February 17, 2023 through December 17, 2023 in accordance with accounting principles generally accepted in the United States of America. Basis for Opinion We conducted our audit in accordance with auditing standards generally accepted in the United States of America (GAAS). Our responsibilities under those standards are further described in the Auditor’s Responsibilities for the Audit of the Financial Statements section of our report. We are required to be independent of the Company and to meet our other ethical responsibilities in accordance with the relevant ethical requirements relating to our audit. We believe that the audit evidence we have obtained is sufficient and appropriate to provide a basis for our audit opinion. Responsibilities of Management for the Financial Statements Management is responsible for the preparation and fair presentation of the financial statements in accordance with accounting principles generally accepted in the United States of America, and for the design, implementation, and maintenance of internal control relevant to the preparation and fair presentation of financial statements that are free of material misstatement, whether due to fraud or error. In preparing the financial statements, management is required to evaluate whether there are conditions or events, considered in the aggregate, that raise substantial doubt about the Company’s ability to continue as a going concern for one year after the date that the financial statements are available to be issued. Auditor’s Responsibilities for the Audit of the Financial Statements Our objectives are to obtain reasonable assurance about whether the financial statements as a whole are free of material misstatement, whether due to fraud or error, and to issue an auditor’s report that includes our opinion. Reasonable assurance is a high level of assurance but is not absolute assurance and therefore is not a guarantee that an audit conducted in accordance with GAAS will always detect a material misstatement when it exists. The risk of not detecting a material misstatement resulting from fraud is higher than for one resulting from error, as fraud may involve collusion, forgery, intentional omissions, misrepresentations, or the override of internal control. Misstatements are considered material if there is a substantial likelihood

that, individually or in the aggregate, they would influence the judgment made by a reasonable user based on the financial statements. In performing an audit in accordance with GAAS, we: Exercise professional judgment and maintain professional skepticism throughout the audit. Identify and assess the risks of material misstatement of the financial statements, whether due to fraud or error, and design and perform audit procedures responsive to those risks. Such procedures include examining, on a test basis, evidence regarding the amounts and disclosures in the financial statements. Obtain an understanding of internal control relevant to the audit in order to design audit procedures that are appropriate in the circumstances, but not for the purpose of expressing an opinion on the effectiveness of the Company’s internal control. Accordingly, no such opinion is expressed. Evaluate the appropriateness of accounting policies used and the reasonableness of significant accounting estimates made by management, as well as evaluate the overall presentation of the financial statements. Conclude whether, in our judgment, there are conditions or events, considered in the aggregate, that raise substantial doubt about the Company’s ability to continue as a going concern for a reasonable period of time. We are required to communicate with those charged with governance regarding, among other matters, the planned scope and timing of the audit, significant audit findings, and certain internal control-related matters that we identified during the audit. March 28, 2024

DAGGETT RENEWABLE HOLDCO LLC AND SUBSIDIARIES Consolidated Balance Sheet December 31, 2023 (In thousands) Assets 2023 Current assets: Cash $ 3,641 Restricted cash 18,675 Accounts receivable – trade 5,837 Accounts receivable – affiliate 42 Derivative instruments 5,047 Prepayments and other current assets 1,848 Total current assets 35,090 Property, plant, and equipment, net 587,625 Other assets: Right-of-use assets, net 30,661 Derivative instruments 23,060 Other non-current assets 142 Total other assets 53,863 Total assets $ 676,578 Liabilities and Equity Current liabilities: Current maturities of long-term debt $ 396 Accounts payable – trade 9,400 Accounts payable – affiliate 440 Accrued liabilities 90 Lease liabilities (298) Total current liabilities 10,028 Other liabilities: Long-term debt 214,198 Asset retirement obligations 4,267 Long-term lease liabilities 33,525 Total other liabilities 251,990 Total liabilities 262,018 Commitments and contingencies Equity: Members’ equity 272,280 Noncontrolling interest 142,280 Total equity 414,560 Total liabilities and equity $ 676,578 See accompanying notes to consolidated financial statements. 3

DAGGETT RENEWABLE HOLDCO LLC AND SUBSIDIARIES Consolidated Statement of Operations Period from February 17, 2023 through December 31, 2023 (In thousands) 2023 Operating revenues: Total operating revenues $ 13,205 Operating costs and expenses: Cost of operations 4,067 Depreciation and accretion 6,310 Total operating costs and expenses 10,377 Operating income 2,828 Other income (expense): Interest income 2,198 Loss on debt extinguishment (2,667) Interest expense (4,532) Total other expense (5,001) Net loss (2,173) Less: net loss attributable to noncontrolling interest (159,457) Net income attributable to Daggett Renewable Holdco LLC and subsidiaries $ 157,284 See accompanying notes to consolidated financial statements. 4

DAGGETT RENEWABLE HOLDCO LLC AND SUBSIDIARIES Consolidated Statement of Equity Period from February 17, 2023 through December 31, 2023 (In thousands) Daggett Solar HA Lighthouse Investment LLC LLC Contributed Contributed Retained Noncontrolling Total capital capital earnings interest equity Balance at February 17, 2023 $ — $ — $ — $ — $ — Net income (loss) — — 157,284 (159,457) (2,173) Acquisition of Daggett Solar Power 3 LLC 14,219 — — — 14,219 Cash contributions 149,895 129,378 — 314,890 594,163 Cash distributions (178,186) — — — (178,186) Non-cash distributions (310) — — — (310) Payment of transaction costs — — — (13,153) (13,153) Balance at December 31, 2023 $ (14,382) $ 129,378 $ 157,284 $ 142,280 $ 414,560 See accompanying notes to consolidated financial statements. 5

DAGGETT RENEWABLE HOLDCO LLC AND SUBSIDIARIES Consolidated Statement of Cash Flows Period from February 17, 2023 through December 31, 2023 (In thousands) 2023 Cash flows from operating activities: Net loss $ (2,173) Adjustments to reconcile net loss to net cash used by operating activities: Depreciation and accretion 6,310 Amortization of debt issuance costs 216 Loss on debt extinguishment 2,667 Reduction in carrying amount of right-of-use assets 589 Changes in derivative instruments (1,363) Cash (used) provided by changes in other working capital: Accounts receivable – trade (5,837) Accounts receivable – affiliate (42) Prepayments and other current assets (2,014) Other non-current assets (142) Accounts payable – trade 1,438 Accounts payable – affiliate (96) Accrued liabilities 90 Accrued interest expense (137) Operating lease liabilities 125 Net cash used by operating activities (369) Cash flows from investing activities: Capital expenditures (116,165) Acquisition of Daggett Solar Power 3 LLC 3,747 Net cash used by investing activities (112,418) Cash flows from financing activities: Proceeds from issuance of long-term debt 36,126 Payments for long-term debt (303,847) Contributions from members 279,273 Contributions from noncontrolling interests 314,890 Distributions to members (178,186) Payment of transaction costs (13,153) Net cash provided by financing activities 135,103 Net increase in cash and restricted cash 22,316 Cash and restricted cash at beginning of period — Cash and restricted cash at end of period $ 22,316 Supplemental disclosures: Interest paid, net of amount capitalized $ 6,718 Non-cash investing activities: Reductions to fixed assets for revised capitalized asset retirement costs (14) Increase to fixed assets for capitalized debt issuance costs 547 Increase to fixed assets for transfer of prepaid insurance 196 See accompanying notes to consolidated financial statements. 6

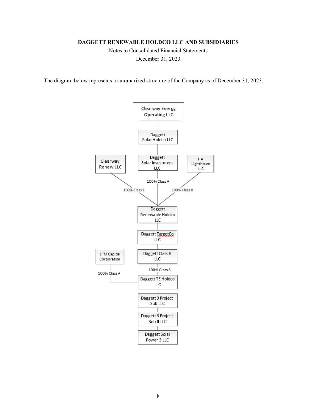
(1) Nature of Business Daggett Renewable Holdco LLC, or Daggett Renewable Holdco, and subsidiaries, or the Company, a Delaware limited liability company, was formed on October 26, 2021 and is a partnership between Daggett Solar Investment LLC, a subsidiary of Clearway Energy Operating LLC, HA Lighthouse LLC, or HASI, a cash equity investor, and Clearway Renew LLC, or Clearway Renew, a direct wholly-owned subsidiary of Clearway Energy Group LLC, or Clearway Energy Group. Clearway Renew’s membership interests in Daggett Renewable Holdco are not participating interests and provide for the potential future allocation of cash in the event of excess returns on the investment by HASI. From October 26, 2021 through February 16, 2023, Daggett Renewable Holdco had no activity. On February 17, 2023, through its consolidated subsidiaries (shown in the diagram below), Daggett Renewable Holdco acquired Daggett Solar Power 3, LLC, or Daggett Solar Power 3, a 300-megawatt, or MW, solar photovoltaic power generating facility that is paired with 149 MW of energy storage and located in San Bernardino, California, collectively referred to as the Facility. See note 3, Acquisition, for further information about the acquisition. Also on February 17, 2023, Daggett Solar Investment LLC acquired the Class A membership interests in Daggett TargetCo LLC, or Daggett TargetCo, for cash consideration of $20.5 million and HASI acquired the Class B membership interests in Daggett TargetCo for cash consideration of $129.4 million from Clearway Renew. Daggett Solar Investment LLC and HASI then contributed their Class A and B membership interests, respectively, into Daggett Renewable Holdco, that consolidates Daggett TargetCo. Daggett TargetCo consolidates, through its wholly-owned subsidiary Daggett Class B LLC, or Daggett Class B, as primary beneficiary, Daggett TE Holdco LLC, or Daggett TE Holdco, a tax equity fund that indirectly owns Daggett Solar Power 3, as further described in note 8, Variable Interest Entities. Daggett TE Holdco is a tax equity arrangement between Daggett Class B and a tax equity investor, JPM Capital Corporation, or JPM Capital. Concurrently with the acquisition on February 17, 2023, in accordance with the Equity Capital Contribution Agreement, or ECCA, between the members, JPM Capital made its initial tax equity contribution of $62.4 million, distributed and held in an escrow account by Daggett Class B, and acquired the Class A membership interests in Daggett TE Holdco, whereas Daggett Class B retained the Class B membership interests. On December 1, 2023, JPM Capital made an additional contribution of $252.5 million upon the Facility reaching substantial completion. Tax equity proceeds were used for the repayment of the debt acquired in the acquisition and transaction expenses as described further in note 6, Long-Term Debt. Clearway Energy Operating LLC is a wholly-owned subsidiary of Clearway Energy LLC, which is owned by Clearway Energy, Inc. and Clearway Energy Group. Clearway Energy Group is equally owned by Global Infrastructure Partners III and TotalEnergies SE. As of December 31, 2023, Clearway Energy, Inc., through its ownership of Class A and Class C common stock, had a 57.90% economic interest in Clearway Energy LLC, while Clearway Energy Group, through its ownership of Class B and Class D common stock, had a 54.91% voting interest in Clearway Energy, Inc. and a 42.10% economic interest in Clearway Energy LLC. DAGGETT RENEWABLE HOLDCO LLC AND SUBSIDIARIES Notes to Consolidated Financial Statements December 31, 2023 7

The diagram below represents a summarized structure of the Company as of December 31, 2023: DAGGETT RENEWABLE HOLDCO LLC AND SUBSIDIARIES Notes to Consolidated Financial Statements December 31, 2023 8

A summary of the major agreements entered into by the Company is set forth below: (a) Limited Liability Company Agreement The Company is governed by an amended and restated limited liability company agreement, or LLCA, dated February 17, 2023. The LLCA provides for allocations of income, taxable items and available cash to its members, which are 25% to Daggett Solar Investment LLC, the Class A Member, and 75% to HASI, the Class B Member, except that allocations of available cash are first utilized to pay back member loans, if any. In addition, subsequent to November 20, 2035, up to 90% of the Class A Member’s cash may be allocated to the Class B Member under the provisions of a related agreement, which provides a reallocation of cash in order to ensure that the Class B Member achieves its target return on investment. If the Class B Member achieves a return above a specified threshold, certain amounts may be allocated to Clearway Renew, through its ownership of the Class C membership interests. In accordance with the provision of the LLCA, the Class A Member is the Manager, as defined, and conducts the activities of the Company on behalf of the members. The Manager has engaged Clearway Asset Services LLC to perform certain of its duties as Manager. All management services provided are at the direction of the Manager and the Manager retains its obligations with respect to its duties and responsibilities. See note 9, Related Party Transactions, for further detail. In addition, the LLCA establishes both a review committee, which is responsible for material decisions that protect the interests of both the Class A Member and Class B Member, and is comprised of two members appointed by each of the Class A Member and Class B Member, and an operations committee, which is responsible for advising the Company and the review committee with respect to the Company’s operations. (b) Power Purchase Agreements and Long-Term Resource Adequacy Agreement Daggett Solar Power 3 is contracted under the following power purchase agreements, or PPAs, and a long-term resource adequacy agreement to deliver the energy output of the Facility as well as energy storage capacity, resource adequacy, and renewable energy attributes. The PPAs, as amended, provide for the sale of energy based on a fixed price applied to actual production amounts. The PPAs also provide for storage payments based on a fixed price applied to the monthly storage contract capacity multiplied by an efficiency factor and availability adjustment as defined in the agreements. In addition, the Company intends to qualify for and utilize the investment tax credit. Under the terms of the PPA agreements, Daggett Solar Power 3 has guaranteed certain performance output that if not achieved could result in the payment of shortfall amounts commencing with the commercial operations date, or COD. A delay in the guaranteed COD resulted in payment of delay damages to the offtakers as defined in the agreements. The Company incurred $310 thousand in damages related to the delay in COD, which Clearway Renew agreed to pay. Accordingly, the Company recorded a non- cash distribution to Clearway Renew in the consolidated statement of equity for the period from February 17, 2023 through December 31, 2023. DAGGETT RENEWABLE HOLDCO LLC AND SUBSIDIARIES Notes to Consolidated Financial Statements December 31, 2023 9

Effective COD Contract capacity Energy storage capacity Offtaker date date (MW) (MW) Term (a) Renewable PPAs: Marin Clean Energy 9/25/2020 8/25/2023 110 60 15 years Clean Power Alliance of Southern California 10/2/2020 11/17/2023 123 61.5 15 years Ava Community Energy Authority (b) 9/29/2021 9/5/2023 50 12.5 15 years Exelon Generation Company, LLC 6/8/2021 7/14/2023 17 15 10 years Pacific Gas and Electric Company (c) 12/10/2020 9/1/2023 — — 15 years 300 149 (a) PPA term effective through 10th or 15th anniversary of COD date as defined in PPA. (b) Effective November 29, 2023, East Bay Community Energy Authority was renamed to Ava Community Energy Authority. (c) Represents a long-term resource adequacy agreement to sell 15 MW of resource adequacy at a fixed price. (c) Balance of Plant Engineering, Procurement and Construction, or EPC, Agreement Daggett Solar Power 3 is party to an amended and restated fixed-price EPC agreement with D.H. Blattner & Sons, Inc., or Blattner, for the engineering, construction, and commissioning of the Facility for $230.9 million, that was subject to price adjustments as defined in the agreement. During the period from February 17, 2023 through December 31, 2023, the Company incurred costs under this agreement of $6.1 million, all of which were capitalized and reflected in property, plant, and equipment, net on the Company’s consolidated balance sheet. Amounts due to Blattner of $4.1 million are included in accounts payable – trade as of December 31, 2023, of which the Company received a $3.2 million credit and paid the outstanding balance during the first quarter of 2024. Daggett Solar Power 3’s obligations have been fulfilled under this agreement. (d) Equipment Supply Contracts and Maintenance Agreement Equipment Supply Contracts Clearway Renew is party to an Equipment Supply Agreement with JA Solar USA Inc., or JA Solar, for which the Company has the ability but not the obligation to purchase solar photovoltaic energy generating modules. Daggett Solar Power 3 entered into a First Amended and Restated Purchase Order supplementing the agreement between Clearway Renew and JA Solar by adjusting the price and schedule for delivery of the modules. During the period from February 17, 2023 through December 31, 2023, Daggett Solar Power 3 incurred costs related to modules of $15.4 million, all of which were capitalized and reflected in property, plant, and equipment, net on the Company’s consolidated balance sheet. DAGGETT RENEWABLE HOLDCO LLC AND SUBSIDIARIES Notes to Consolidated Financial Statements December 31, 2023 10

Daggett Solar Power 3 is party to an Equipment Supply Contract with Wärtsilä North America, Inc., or Wärtsilä North America, for energy storage equipment and services totaling $130.4 million, that was subject to price adjustments as defined in the contract. During the period from February 17, 2023 through December 31, 2023, the Company incurred costs under this agreement of $13.4 million, all of which were capitalized and reflected in property, plant, and equipment, net on the Company’s consolidated balance sheet. Daggett Solar Power 3’s obligations have been fulfilled under this agreement. Maintenance Agreement In addition, Daggett Solar Power 3 contracted with Wärtsilä North America to provide certain maintenance services for the battery energy storage system. The agreement has an initial term of ten years commencing on August 11, 2023, and will automatically renew for additional five year periods unless terminated by either party as provided for in the agreement. The agreement provides for payment of annual fixed fees, warranty fees, and capacity management fees. During the period from February 17, 2023 through December 31, 2023, the Company incurred costs under this agreement of $2.0 million, of which $463 thousand representing annual fixed and warranty fees was included in cost of operations in the consolidated statement of operations, $916 thousand representing capacity management fees was capitalized and reflected in property, plant, and equipment, net and $648 thousand representing prepaid annual fixed and warranty fees was included in prepayments and other current assets on the Company’s consolidated balance sheet. Amounts due to Wärtsilä North America of $2.0 million are included in accounts payable – trade as of December 31, 2023. (2) Summary of Significant Accounting Policies (a) Basis of Presentation The Company’s consolidated financial statements have been prepared in accordance with accounting principles generally accepted in the United States, or U.S. GAAP. The Accounting Standards Codification, or ASC, established by the Financial Accounting Standards Board, or FASB, is the source of authoritative U.S. GAAP to be applied by nongovernmental entities. The consolidated financial statements include the Company’s accounts and operations and those of its subsidiaries in which the Company has a controlling financial interest. All significant intercompany transactions and balances have been eliminated in the consolidated financial statements. The usual condition for a controlling financial interest is ownership of the majority of the voting interests of an entity. However, a controlling financial interest may also exist through arrangements that do not involve controlling voting interests. As such, the Company applies the guidance of ASC 810, Consolidations, to determine when an entity that is not controlled through its voting interests should be consolidated. DAGGETT RENEWABLE HOLDCO LLC AND SUBSIDIARIES Notes to Consolidated Financial Statements December 31, 2023 11

(b) Restricted Cash The following table provides a reconciliation of cash and restricted cash reported within the consolidated balance sheet that sum to the total of the same such amounts shown in the consolidated statement of cash flows as of December 31, 2023 (in thousands): 2023 Cash $ 3,641 Restricted cash 18,675 Cash and restricted cash shown in the consolidated statement of cash flows $ 22,316 Restricted cash consists primarily of funds held in construction completion reserves which were funded by the tax equity investor. (c) Accounts Receivable – Trade Trade accounts receivable are recorded at the invoiced amount and do not bear interest. The majority of the Company’s customers typically receive invoices monthly with payment due within 30 days. There was no allowance for credit losses as of December 31, 2023. (d) Property, Plant, and Equipment Property, plant, and equipment are stated at cost; however, impairment adjustments are recorded whenever events or changes in circumstances indicate that their carrying amounts may not be recoverable. Significant additions or improvements extending asset lives are capitalized as incurred, while repairs and maintenance that do not improve or extend the life of the respective asset are charged to expense as incurred. Depreciation is computed using the straight-line method over the estimated useful lives of the assets. Certain assets and their related accumulated depreciation amounts are adjusted for asset retirements and disposals with the resulting gain or loss included in cost of operations in the consolidated statement of operations. See note 5, Property, Plant, and Equipment, for additional information. Interest incurred on funds borrowed to finance capital projects is capitalized until the project under construction is ready for its intended use. The amount of interest capitalized for the period from February 17, 2023 through December 31, 2023 was $17.8 million, which includes amortized debt issuance costs of $547 thousand. DAGGETT RENEWABLE HOLDCO LLC AND SUBSIDIARIES Notes to Consolidated Financial Statements December 31, 2023 12

(e) Asset Impairments Long-lived assets that are held and used are reviewed for impairment whenever events or changes in circumstances indicate their carrying amounts may not be recoverable. Such reviews are performed in accordance with ASC 360, Property, Plant, and Equipment. An impairment loss is indicated if the total future estimated undiscounted cash flows expected from an asset are less than its carrying amount. An impairment charge is measured as the excess of an asset’s carrying amount over its fair value with the difference recorded in operating costs and expenses in the consolidated statement of operations. Fair values are determined by a variety of valuation methods, including third-party appraisals, sales prices of similar assets, and present value techniques. There were no indicators of impairment loss as of December 31, 2023. (f) Debt Issuance Costs Debt issuance costs consist of legal fees and closing costs incurred by the Company in obtaining its financing. These costs are capitalized and amortized to interest expense on a basis which approximates the effective interest method over the term of the financing obligation and are presented on the balance sheets as a direct deduction from the carrying amount of the related debt. Prior to reaching COD, these amortized amounts were included in the calculation of capitalized interest. Amortization expense, included in interest expense in the consolidated statement of operations, was $216 thousand for the period from February 17, 2023 through December 31, 2023. In addition, Daggett Solar Power 3 recorded a $2.7 million loss on extinguishment of debt associated with writing off a portion of the debt issuance costs for the period from February 17, 2023 through December 31, 2023. (g) Leases The Company accounts for leases under ASC 842, Leases, or ASC 842. ASC 842 requires the establishment of a lease liability and related right-of-use asset for all leases with a term longer than 12 months. The Company evaluates each arrangement at inception to determine if it contains a lease. The Company has elected to apply the practical expedient to not separate lease and non-lease components of the leases. The Company records its operating lease liabilities at the present value of the lease payments over the lease term at lease commencement date. Lease payments include fixed payment amounts. The Company determines the relevant lease term by evaluating whether renewal and termination options are reasonably certain to be exercised. The Company uses its incremental borrowing rate to calculate the present value of the lease payments, based on information available at the lease commencement date. All of the Company’s leases are operating leases. See note 2(i), Revenue Recognition, below and note 10, Leases, for information on the Company’s leases. DAGGETT RENEWABLE HOLDCO LLC AND SUBSIDIARIES Notes to Consolidated Financial Statements December 31, 2023 13

(h) Income Taxes For the period February 17, 2023 through December 31, 2023, the Company is classified as a partnership for federal and state income tax purposes. Therefore, federal and state income taxes are assessed at the partner level. Accordingly, no provision has been made for federal or state income taxes in the accompanying consolidated financial statements. The Company has determined that, based on a more-likely-than not evaluation of the tax positions taken, there are no material uncertain tax positions to be recognized as of December 31, 2023 by the Company. (i) Revenue Recognition Power Purchase Agreements The Company sells power and battery storage to offtakers under PPAs as described in note 1(b), Power Purchase Agreements and Long-Term Resource Adequacy Agreement. The PPAs with respect to power sales are derivative financial instruments that qualify for the normal purchase normal sale exception and as such, are accounted for under the revenue recognition guidance in ASC 606, Revenue from Contracts with Customers, or ASC 606, and revenue is recognized when the underlying power is delivered. Revenue from the sale of bundled RECs under the renewable PPAs is recognized when the related energy is generated and simultaneously delivered to the market, even in cases where there is a certification lag as it has been deemed to be perfunctory as this is the point in time in which the performance obligation is satisfied and control of the REC is transferred to the customer. In such cases, it is often unnecessary to allocate transaction price to multiple performance obligations. Lease Revenue The Company accounts for the battery storage component recognized under the PPAs as operating leases in accordance with ASC 842. The battery storage component includes variable payments not based on an index or rate and sales-type lease treatment would result in a loss at lease commencement. ASC 842 requires the minimum lease payments received to be amortized over the term of the lease and contingent rentals are recorded when the achievement of the contingency becomes probable. Judgment is required by management in determining the economic life of each generating facility, in evaluating whether certain lease provisions constitute minimum payments or represent contingent rent and other factors in determining whether a contract contains a lease and whether the lease is an operating lease or finance lease. The battery storage component of the PPAs has fixed capacity payments treated as minimum lease payments and variable amounts recorded as contingent rent on an actual basis when electricity is delivered. The Company recognizes the fixed capacity payments over the term of the PPAs. See note 10, Leases, for information on minimum future lease payments. The contingent lease revenue recognized for the period from February 17, 2023 through December 31, 2023 was $72 thousand. Unbundled Renewable Energy Credits, or RECs, Revenue The Company’s PPA with Exelon Generation Company, LLC provides for the sale of RECs separately. RECs are sold at a fixed price per MWh as defined in the agreement. REC revenue is recognized when the related energy is generated and simultaneously delivered to the market, even in DAGGETT RENEWABLE HOLDCO LLC AND SUBSIDIARIES Notes to Consolidated Financial Statements December 31, 2023 14

cases where there is a certification lag as it has been deemed to be perfunctory, as this is the point in time in which the performance obligation is satisfied and control of the REC is transferred to the customer. This revenue is accounted for in accordance with ASC 606, utilizing the invoicing practical expedient, which represents the RECs delivered. Capacity Revenue The Company’s PPA with Pacific Gas and Electric Company provides for the sale of resource adequacy for 15 MW sold at a fixed price as defined in the agreement. The Company accounts for revenue recognized under its long-term resource adequacy agreement in accordance with ASC 606. Disaggregated Revenues The following table represents the Company’s disaggregation of revenue from contracts with customers for the period from February 17, 2023 through December 31, 2023 (in thousands): 2023 Energy revenues $ 10,290 Capacity revenues 2,699 REC revenues 216 Total operating revenues 13,205 Less: Lease revenue (2,577) Total revenue from contracts with customers $ 10,628 Contract Balances The following table reflects the contract assets in the Company’s consolidated balance sheet as of December 31, 2023 (in thousands): 2023 Accounts receivable – contracts with customers $ 3,954 Accounts receivable – leases 1,791 Accounts receivable – other 92 Total accounts receivable – trade $ 5,837 DAGGETT RENEWABLE HOLDCO LLC AND SUBSIDIARIES Notes to Consolidated Financial Statements December 31, 2023 15

(j) Derivative Financial Instruments The Company accounts for derivative financial instruments in accordance with ASC 815, Derivatives and Hedging, which requires the Company to recognize all derivative instruments on the balance sheet as either assets or liabilities and to measure them at fair value each reporting period unless they qualify for a normal purchase normal sale exception. The Company uses interest rate swaps to manage its interest rate exposure on long-term debt, which are not designated as cash flow hedges. Changes in the fair value of non-hedge derivatives are immediately recognized in earnings. Cash flows from derivatives not designated as cash flow hedges are classified as operating activities in the consolidated statement of cash flows. See note 4, Accounting for Derivative Instruments and Hedging Activities, for more information. (k) Risks and Uncertainties Financial instruments, which potentially subject the Company to concentrations of credit risk, consist primarily of accounts receivable – trade and derivative financial instruments. Accounts receivable are concentrated with utility companies and electricity providers. The concentration of sales to a small group of customers may impact the Company’s overall exposure to credit risk, either positively or negatively, in that the customers may be similarly affected by changes in economic, industry, or other conditions. However, the Company believes that the credit risk posed by such concentrations is offset by the diversification and creditworthiness of its customer base. The Company is also exposed to credit losses in the event of noncompliance by counterparties to its derivative financial instruments. Risks associated with the Company’s operations include the performance of the Facility below expected levels of efficiency, output and storage capacity, shutdowns due to the breakdown or failure of equipment, which could be further impacted by the inability to obtain replacement parts, or catastrophic events such as extreme weather, fires, earthquakes, floods, explosions, pandemics, or other similar occurrences affecting a power generation and energy storage facility or its energy purchasers. (l) Fair Value Measurements The Company accounts for the fair value of financial instruments in accordance with ASC 820, Fair Value Measurement, or ASC 820. DAGGETT RENEWABLE HOLDCO LLC AND SUBSIDIARIES Notes to Consolidated Financial Statements December 31, 2023 16

ASC 820 establishes a fair value hierarchy that prioritizes the inputs to valuation techniques used to measure fair value into three levels as follows: • Level 1 – Quoted prices (unadjusted) in active markets for identical assets or liabilities that the Company has the ability to access as of the measurement date. • Level 2 – Inputs other than quoted prices included within Level 1 that are directly observable for the asset or liability or indirectly observable through corroboration with observable market data. • Level 3 – Unobservable inputs for the asset or liability only used when there is little, if any, market activity for the asset or liability at the measurement date. In accordance with ASC 820, the Company determines the level in the fair value hierarchy within which each fair value measurement in its entirety falls, based on the lowest level input that is significant to the fair value measurement in its entirety. For cash, restricted cash, accounts receivable – trade, accounts receivable – affiliate, accounts payable – trade, accounts payable – affiliate, and accrued liabilities, the carrying amounts approximate fair value because of the short-term maturity of those instruments and are classified as Level 1 within the fair value hierarchy. The carrying amounts and estimated fair values of the Company’s recorded financial instruments not carried at fair market value or that do not approximate fair value as of December 31, 2023 are as follows (in thousands): 2023 Carrying Amount Fair Value Long-term debt (a) $ 217,088 $ 214,235 (a) Excludes net debt issuance costs, as shown in note 6, Long-Term Debt. The fair value of long-term debt is based on expected future cash flows discounted at current interest rates for similar instruments with equivalent credit quality and is classified as Level 3 within the fair value hierarchy. DAGGETT RENEWABLE HOLDCO LLC AND SUBSIDIARIES Notes to Consolidated Financial Statements December 31, 2023 17

Derivative instruments, consisting of interest rate swaps, are recorded at fair value on the Company’s consolidated balance sheet on a recurring basis and are classified as Level 2 within the fair value hierarchy as the fair value is determined using an income approach, which uses readily observable inputs, such as forward interest rates and contractual terms to estimate fair value. The fair value of each contract is discounted using a risk free interest rate. In addition, the Company applies a credit reserve to reflect credit risk, which for interest rate swaps is calculated using the bilateral method based on published default probabilities. The credit reserve is added to the discounted fair value to reflect the exit price that a market participant would be willing to receive to assume the Company’s liabilities or that a market participant would be willing to pay for the Company’s assets. As of December 31, 2023, the non-performance reserve was a $1.9 million loss recorded to interest expense in the consolidated statement of operations. For further discussion of interest rate swaps, see note 4, Accounting for Derivative Instruments and Hedging Activities. (m) Commitments and Contingencies In the normal course of business, the Company is subject to various claims and litigation. Management of the Company expects that these various litigation items will not have a material adverse effect on the results of operations, cash flows, or financial position of the Company. (n) Asset Retirement Obligations The Company accounts for its asset retirement obligations, or AROs, in accordance with ASC 410-20, Asset Retirement Obligations, or ASC 410-20. Retirement obligations associated with long-lived assets included within the scope of ASC 410-20 are those for which a legal obligation exists under enacted laws, statutes, and written or oral contracts, including obligations arising under the doctrine of promissory estoppel, and for which the timing and/or method of settlement may be conditional on a future event. ASC 410-20 requires an entity to recognize the fair value of a liability for an ARO in the period in which it is incurred and a reasonable estimate of fair value can be made. Upon initial recognition of a liability for an ARO, other than when an ARO is assumed in an acquisition of the related long-lived asset, the Company capitalizes the asset retirement cost by increasing the carrying amount of the related long-lived asset by the same amount. Over time, the liability is accreted to its future value, while the capitalized cost is depreciated over the useful life of the related asset. See note 7, Asset Retirement Obligations, for further information. DAGGETT RENEWABLE HOLDCO LLC AND SUBSIDIARIES Notes to Consolidated Financial Statements December 31, 2023 18

(o) Tax Equity Arrangements The Company’s noncontrolling interest in subsidiaries represents the Class A Member’s interest in the net assets of Daggett TE Holdco under a tax equity arrangement, which is consolidated by the Company. The Company has determined that the provisions in the contractual agreements of this structure represents a substantive profit sharing arrangement. Further, the Company has determined that the appropriate methodology for calculating the noncontrolling interest that reflects the substantive profit sharing arrangements is a balance sheet approach utilizing the hypothetical liquidation at book value, or HLBV, method. Under the HLBV method, the amounts reported as noncontrolling interests represent the amounts the Class A Member would hypothetically receive at each balance sheet date under the liquidation provisions of the contractual agreements, assuming the net assets of the funding structures were liquidated at their recorded amounts determined in accordance with U.S. GAAP. The Class A Member’s interests in the results of operations of the funding structure are determined as the difference in noncontrolling interests at the start and end of each reporting period, after taking into account any capital transactions between the structure and its investors. The calculations utilized to apply the HLBV method include estimated calculations of taxable income or losses for each reporting period. (p) Comprehensive Loss The Company’s total comprehensive loss is equal to net loss for the period from February 17, 2023 through December 31, 2023.. (q) Use of Estimates The preparation of the consolidated financial statements in conformity with U.S. GAAP requires management to make estimates and assumptions that affect the reported amounts of assets and liabilities and disclosures of contingent assets and liabilities at the date of the consolidated financial statements, and the reported amounts of revenues and expenses during the reporting period. Actual results may differ from those estimates. DAGGETT RENEWABLE HOLDCO LLC AND SUBSIDIARIES Notes to Consolidated Financial Statements December 31, 2023 19

(3) Acquisition On February 17, 2023, the Company, through its subsidiary, Daggett TE Holdco, acquired Daggett 3 Project Sub LLC, the holding company for Daggett Solar Power 3, from Daggett Project Holdco LLC, pursuant to a Membership Interest Purchase Agreement, dated November 24, 2021 and amended April 6, 2022, in connection with the acquisition of the Class A membership interests of Daggett TargetCo by Daggett Solar Investment LLC and the Class B membership interests of Daggett TargetCo by HASI from Clearway Renew, as described in note 1, Nature of Business. Daggett TE Holdco’s purchase price was paid to Clearway Renew with amounts contributed by Daggett Solar Investment LLC and HASI. On February 17, 2023, $62.4 million was placed into a restricted cash account designated for payment of the tax equity bridge loan as described in note 1, Nature of Business, as well as $75.6 million of net proceeds from the acquisition of Daggett TargetCo, which were contributed back to the Company from Clearway Energy Group and were utilized to repay the cash equity bridge loan, along with related fees, as further described in note 6, Long-Term Debt. The acquisition was determined to be an asset acquisition, and the Company consolidates Daggett Solar Power 3 on a prospective basis in its consolidated financial statements. The assets and liabilities transferred to the Company relate to interests under common control by Clearway Energy Group and were recorded at historical cost in accordance with ASC 805-50, Business Combinations - Related Issues. The historical cost of the Company’s net assets acquired of $14.2 million was recorded as an adjustment to contributed capital on the Company’s consolidated statement of equity. DAGGETT RENEWABLE HOLDCO LLC AND SUBSIDIARIES Notes to Consolidated Financial Statements December 31, 2023 20

The following is a summary of assets and liabilities transferred in connection with the acquisition as of February 17, 2023 (in thousands): Assets: Current assets $ 3,776 Property, plant, and equipment, net 533,855 Right-of-use assets, net 31,250 Derivative instruments 26,744 Total assets acquired 595,625 Liabilities: Long-term debt (a) 480,311 Lease liabilities 33,102 Other current and non-current liabilities (b) 67,993 Total liabilities assumed 581,406 Net assets acquired $ 14,219 (a) Includes a $181.0 million construction loan, $75.4 million cash equity bridge loan and a $228.5 million tax equity bridge loan, offset by $4.5 million in unamortized debt issuance costs. See note 6, Long-Term Debt, for further discussion of the long-term debt assumed in the acquisition. (b) Includes $31.9 million of construction costs that were subsequently funded by a subsidiary of Clearway Renew. Subsequent to the acquisition date, a subsidiary of Clearway Renew funded an additional $21.9 million in construction costs. The combined $53.8 million funded by a subsidiary of Clearway Renew was repaid to a subsidiary of Clearway Renew in October 2023. (4) Accounting for Derivative Instruments and Hedging Activities (a) Interest Rate Swaps In accordance with the financing agreement, as described in note 6, Long-Term Debt, the Company has a series of outstanding amortizing interest rate swap agreements for 86% of the outstanding term loan amount, intended to hedge the risks associated with floating interest rates. The Company pays its counterparty the equivalent of a fixed interest payment on a predetermined notional amount, and quarterly, the Company receives the equivalent of a floating interest payment based on a three-month Term Secured Overnight Financing Rate, or Term SOFR, calculated on the same notional amount. The Company also had entered into an interest rate swap agreement that became effective November 30, 2022 and matured on July 31, 2023. The swap was intended to hedge the risks associated with floating interest rates on the expected borrowings under the construction financing. The interest rate swap agreement entitled the Company to receive a floating (one-month SOFR) rate and pay a fixed rate of 4.729%. The swap was not designated as a cash flow hedge. DAGGETT RENEWABLE HOLDCO LLC AND SUBSIDIARIES Notes to Consolidated Financial Statements December 31, 2023 21

(b) Volumetric Underlying Derivative Transactions The notional amount of the interest rate swaps will decrease in proportion to the principal balance of the loan. The table below summarizes the outstanding notional amounts and terms of the interest rate swaps as of December 31, 2023: Notional amount (in thousands) Effective date 2023 Fixed Rate Maturity Date September 29, 2023 $ 148,894 1.908% September 30, 2043 (a) September 30, 2023 37,224 1.908% September 30, 2043 (a) $ 186,118 (a) The interest rate swap agreements are subject to a mandatory early termination date of September 29-30, 2028. (c) Fair Value of Derivative Transactions The following table summarizes the Company’s derivative assets on the consolidated balance sheet as of December 31, 2023 (in thousands): 2023 Derivatives not designated as cash flow hedges: Interest rate contracts current $ 5,047 Interest rate contracts long-term 23,060 Total derivative assets $ 28,107 (d) Impact of Derivative Instruments on the Consolidated Statement of Operations Mark-to-market gains and losses related to the Company’s derivatives are recorded to interest expense. For the period from February 17, 2023 through December 31, 2023, the impact to the consolidated statement of operations was a gain of $1.4 million. DAGGETT RENEWABLE HOLDCO LLC AND SUBSIDIARIES Notes to Consolidated Financial Statements December 31, 2023 22

(5) Property, Plant, and Equipment The Company’s major classes of property, plant, and equipment as of December 31, 2023 consists of (in thousands): 2023 Depreciable lives Plant equipment $ 592,827 10 - 27 years Construction in progress 916 — Total property, plant, and equipment 593,743 Less accumulated depreciation (6,118) Net property, plant, and equipment $ 587,625 (6) Long-Term Debt On February 17, 2023, as part of the acquisition of Daggett Solar Power 3, as further described in note 3, Acquisition, the Company assumed the financing agreement which included a $181.0 million construction loan, a $228.5 million tax equity bridge loan, and a $75.4 million cash equity bridge loan, offset by $4.5 million in unamortized debt issuance costs. The cash equity bridge loan was repaid at acquisition date, along with $8.1 million in associated fees, utilizing the proceeds contributed to the Company from the acquisition of Daggett Solar Power 3’s indirect parent, Daggett TargetCo, by Daggett Solar Investment LLC and the cash equity investor. On December 1, 2023, when the Facility reached substantial completion, the tax equity investor contributed an additional $252.5 million, which was utilized, along with the $68.5 million in escrow, to repay the $228.5 million tax equity bridge loan, to fund $40.4 million in construction completion reserves, and to pay $7.5 million in associated fees, with the remaining $44.6 million distributed to Clearway Energy Group. Subsequent to the acquisition on February 17, 2023, the Company borrowed an additional $36.1 million in construction loans and the total outstanding construction loans were converted to a term loan in the amount of $217.1 million on December 1, 2023. The term loan will mature on December 1, 2028 and is secured by the Company’s interests in the Facility. The construction loan and the tax equity bridge loan each had an interest rate of Term SOFR, plus an adjustment of 0.26161% per annum and an applicable margin of 1.00% per annum. In addition to interest on the outstanding borrowings, the Company paid a quarterly commitment fee on each of the unused portions of the construction loan equal to 0.375% per annum. The term loan bears interest at a rate of Term SOFR plus an adjustment of 0.26161% per annum and an applicable margin, which is 1.50% per annum through the third anniversary of the term conversion, and 1.625% per annum thereafter through the term loan maturity date. DAGGETT RENEWABLE HOLDCO LLC AND SUBSIDIARIES Notes to Consolidated Financial Statements December 31, 2023 23

The financing agreement also provides for a letter of credit facility of up to $47.1 million, consisting of $39.3 million to support power purchase agreements and $7.8 million to support debt service requirements. The Company pays on a quarterly basis a letter of credit fee of 1.00% per annum on issued amounts under the letter of credit facility, which escalates 0.50% on the term conversion and 0.125% on the third anniversary of term conversion. In addition, the Company pays quarterly commitment fees on any of the unused portions of the letter of credit commitments equal to 0.375% per annum. As of December 31, 2023, the amount of outstanding letters of credit totaled $42.9 million, of which $38.7 million supports power purchase agreements and $4.2 million supports debt service reserve requirements. Daggett Class B LLC entered into interest rate swap agreements to hedge the majority of the variable interest rate exposure under the term loan. For further details regarding the interest rate swap agreements, see note 4, Accounting for Derivative Instruments and Hedging Activities. As of December 31, 2023, long-term debt consists of the following (in thousands): 2023 Total long-term debt (including current maturities) $ 217,088 Less current maturities (396) Less debt issuance costs, net (2,494) Long-term debt $ 214,198 Distributions from the Company are subject to the terms and conditions defined in the financing agreement, including a condition to meet a required debt service coverage ratio of 1.20 to 1.0. At December 31, 2023, the Company is not subject to the requirements to perform the calculation or make distributions until March 31, 2024, the end of the first full calendar quarter after term conversion. Annual payments based on the maturities of the Company’s debt as of December 31, 2023 are summarized as follows (in thousands): Year ending December 31: 2024 $ 396 2025 437 2026 427 2027 398 2028 215,430 $ 217,088 DAGGETT RENEWABLE HOLDCO LLC AND SUBSIDIARIES Notes to Consolidated Financial Statements December 31, 2023 24

(7) Asset Retirement Obligations The Company’s AROs are the estimated cost to remove the above ground solar and energy storage equipment and restore the site to conditions similar to the surrounding parcels. The following table represents the balance of the AROs, along with the related activity for the period from February 17, 2023 through December 31, 2023 (in thousands): Balance as of February 17, 2023 $ — Acquired liabilities 3,989 Revisions in estimated cash flows (14) Accretion expense 292 Balance as of December 31, 2023 $ 4,267 (8) Variable Interest Entities, or VIEs The Company has a controlling financial interest in Daggett TE Holdco, a tax equity arrangement entered into with a third party, which has been identified as a VIE under ASC 810, Consolidations. As described in note 1, Nature of Business, on February 17, 2023, Daggett Solar Investment LLC acquired the Class A membership interests in Daggett TargetCo while HASI acquired the Class B membership interests. Daggett Solar Investment LLC and HASI then contributed their Class A and B membership interests, respectively, into Daggett Renewable Holdco and concurrently, Daggett TargetCo became a wholly owned subsidiary of Daggett Renewable Holdco. Daggett TargetCo consolidates as primary beneficiary and through its ownership of the Class B membership interests, Daggett TE Holdco, a tax equity fund which is a VIE, that indirectly owns Daggett Solar Power 3. The Class A membership interests in Daggett TE Holdco are held by a tax equity investor, JPM Capital, and are reflected as noncontrolling interest on the Company’s consolidated balance sheet. The summarized financial information for Daggett TE Holdco as of December 31, 2023 consisted of the following (in thousands): 2023 Other current and non-current assets $ 58,805 Property, plant, and equipment, net 587,625 Total assets 646,430 Current liabilities 9,576 Non-current liabilities 37,792 Total liabilities 47,368 Net assets $ 599,062 DAGGETT RENEWABLE HOLDCO LLC AND SUBSIDIARIES Notes to Consolidated Financial Statements December 31, 2023 25

(9) Related Party Transactions The Company has the following related party transactions and relationships in addition to the reimbursement of liquidated damages described in note 1, Nature of Business, and the lease agreement described in note 10, Leases. Amounts due to Clearway Energy Group subsidiaries are recorded as accounts payable – affiliate and amounts due to the Company from Clearway Energy Group subsidiaries are recorded as accounts receivable – affiliate on the Company’s balance sheets. These account balances are netted by affiliate party. The Company entered into a Management Services Agreement for asset management and administration services with Clearway Asset Services LLC, a subsidiary of Clearway Energy Group. The agreement has an initial term of ten years commencing on December 1, 2023 with provisions for extension until terminated. The agreement provides for the payment of fixed fees that escalate annually, as defined in the agreement, and for the reimbursement of reasonable expenses incurred in connection with its services. No costs were incurred under this agreement for the period from February 17, 2023 through December 31, 2023. Daggett Solar Power 3 had a Construction Management Agreement with Renewables Construction LLC, or Renewables Construction, a subsidiary of Clearway Renew, effective October 28, 2021 through the three months following the commercial operations date. Under the terms of the agreement, Renewables Construction provided certain construction management and administrative services for the Facility. As full compensation for the services provided, Renewables Construction was paid a service fee of $40.0 million. The service fee was payable on or before the commercial operation capital contribution date. As of December 31, 2023, $40.0 million of costs have been incurred under this agreement, $4.0 million of which were previously capitalized and are reflected in property, plant, and equipment, net on the Company’s consolidated balance sheet and $36.0 million of costs represented a development margin and was recorded as a distribution to Clearway Renew included in contributed capital in the consolidated statement of equity. Daggett Solar Power 3’s obligations have been fulfilled under this agreement. Daggett Solar Power 3 has an Operation and Maintenance Agreement, or O&M Agreement, with Clearway Renewable Operation & Maintenance LLC, or RENOM, a subsidiary of Clearway Energy Group, to provide operation and maintenance services for the balance of the plant not covered by the maintenance agreement with Wärtsilä North America. The initial term of the agreement is ten years commencing May 28, 2021, and will automatically renew for additional five year periods unless terminated by either party as provided for in the O&M Agreement. The O&M Agreement allows for reimbursement of mobilization expenses, start-up expenses, and direct operating and capital improvement expenses, including a five percent markup. Additionally, there is an annual profit fee subject to performance factors with an annual escalation of 2.25%. For the period from February 17, 2023 through December 31, 2023, the Company incurred costs of $858 thousand under this agreement, of which $94 thousand of these costs are included in cost of operations in the consolidated statement of operations and $764 thousand was capitalized and reflected in property, plant, and equipment, net on the Company’s consolidated balance sheet. DAGGETT RENEWABLE HOLDCO LLC AND SUBSIDIARIES Notes to Consolidated Financial Statements December 31, 2023 26

Daggett TE Holdco and Daggett Solar Power 3 are parties to a Project Administration Agreement, or PAA, with Clearway Asset Services LLC, a subsidiary of Clearway Energy Group. The agreement has an initial term of ten years commencing on October 28, 2021, and will automatically renew in one-year increments unless either party delivers written notice of termination to the other party no later than 180 days prior to the expiration of the initial term or applicable renewal term. The PAA provides for the payment of fixed fees of $359 thousand with an annual escalation of 2.25%, and reimburses Clearway Asset Services LLC for reasonable expenses incurred in connection with its services. For the period from February 17, 2023 through December 31, 2023, the Company incurred costs of $325 thousand under this agreement. These costs are included in cost of operations in the consolidated statement of operations. Daggett Solar Power 3 is party to a Shared Facilities Common Ownership Agreement with Daggett Solar Power 2 LLC, a subsidiary of Daggett Solar Investment LLC, Daggett Solar Power 1 LLC and Daggett Land Holdings LLC, subsidiaries of Clearway Renew, which grants Daggett Solar Power 3 rights to use the operations and maintenance building and storage yard facilities including surrounding areas, and access and use of other shared equipment and facilities owned by the respective subsidiaries. The agreement also addresses Daggett Land Holdings LLC rights and obligations in connection with various licenses. Daggett Solar Power 3 is obligated to pay an administration fee of 10% of costs and expenses paid by the administrative manager, Daggett Solar Power 2 LLC. No costs were incurred under this agreement for the period from February 17, 2023 through December 31, 2023. (10) Leases Solar Facility Ground Lease Agreement The Company has entered into a solar facility ground lease agreement with Daggett Land Holdings LLC, a subsidiary of Clearway Renew, which grants Daggett Solar Power 3 nonexclusive easement rights to use the land on which the Facility is located. The Company is obligated to pay fixed fee rent payments as defined in the agreement through December 2062. Lease expense for the period from February 17, 2023 through December 31, 2023 was $2.3 million. These costs are included in cost of operations in the consolidated statement of operations. DAGGETT RENEWABLE HOLDCO LLC AND SUBSIDIARIES Notes to Consolidated Financial Statements December 31, 2023 27

Operating lease information as of December 31, 2023 was as follows (in thousands, except term and rate): 2023 Right-of-use assets - operating leases, net $ 30,661 Short-term lease liability - operating leases $ (298) Long-term lease liability - operating leases 33,525 Total lease liabilities $ 33,227 Weighted average remaining lease term 39 years Weighted average discount rate 5.69 % February 17, through December 31, 2023 Cash paid for operating leases $ 1,609 Minimum future rental payments of operating lease liabilities as of December 31, 2023 are as follows (in thousands): 2024 $ 1,609 2025 1,634 2026 1,661 2027 1,693 2028 1,724 Thereafter 93,291 Total lease payments 101,612 Less imputed interest (68,385) Total lease liability - operating leases $ 33,227 DAGGETT RENEWABLE HOLDCO LLC AND SUBSIDIARIES Notes to Consolidated Financial Statements December 31, 2023 28

Lessor Certain of the Company's revenue is obtained through PPAs in which the battery storage component of the PPAs are accounted for as operating leases. The terms of the PPAs are further discussed in note 1(b), Power Purchase Agreements and Long-Term Resource Adequacy Agreement and note 2(i), Revenue Recognition. Minimum future rent payments the Company expects to receive for the remaining periods related to operating leases as of December 31, 2023 are as follows (in thousands): 2024 $ 12,796 2025 12,829 2026 12,829 2027 12,829 2028 12,829 Thereafter 125,640 Total lease payments $ 189,752 Property, plant, and equipment, net related to the Company’s operating leases were estimated as follows for December 31, 2023 (in thousands): 2023 Property, plant, and equipment $ 163,459 Accumulated depreciation (2,130) Net property, plant, and equipment $ 161,329 (11) Subsequent Events Effective January 1, 2024, Daggett 2 TargetCo LLC, a separate partnership amongst the same members and another consolidated subsidiary of Daggett Solar Investment LLC, consolidates into Daggett Renewable Holdco, pursuant to a Contribution Agreement, dated February 13, 2024. The members contributed 100% of their respective membership interests of Daggett 2 TargetCo LLC to Daggett Renewable Holdco. As the transfer is among entities under common control, the transaction will be recognized at historical cost and no gain or loss will be recognized. The Company has evaluated subsequent events from the balance sheet date through March 28, 2024, the date at which the financial statements were available to be issued, and determined that there are no additional items to disclose other than the events described elsewhere in the notes to financial statements. DAGGETT RENEWABLE HOLDCO LLC AND SUBSIDIARIES Notes to Consolidated Financial Statements December 31, 2023 29