EX-99.4
Published on March 28, 2024

LIGHTHOUSE RENEWABLE HOLDCO 2 LLC AND SUBSIDIARIES Consolidated Financial Statements December 31, 2023 (With Report of Independent Auditors)

LIGHTHOUSE RENEWABLE HOLDCO 2 LLC AND SUBSIDIARIES Table of Contents Page 1 3 4 5 6 7 Report of Independent Auditors Consolidated Balance Sheets — December 31, 2023 and 2022 Consolidated Statements of Operations — Years ended December 31, 2023 and 2022 and the period from December 17, 2021 through December 31, 2021 Consolidated Statements of Equity — Years ended December 31, 2023 and 2022 and the period from December 17, 2021 through December 31, 2021 Consolidated Statements of Cash Flows — Years ended December 31, 2023 and 2022 and the period from December 17, 2021 through December 31, 2021 Notes to Consolidated Financial Statements

Ernst & Young LLP One Commerce Square 2005 Market Street, Suite 700 Philadelphia, PA 19103 Tel: +1 215 448 5000 Fax: +1 215 448 4069 ey.com Report of Independent Auditors The Members Lighthouse Renewable Holdco 2 LLC Opinion We have audited the consolidated financial statements of Lighthouse Renewable Holdco 2 LLC and subsidiaries (the Company), which comprise the consolidated balance sheets as of December 31, 2023 and 2022, and the related consolidated statements of operations, equity and cash flows for the years ended December 31, 2023 and 2022 and for the period from December 17, 2021 through December 31, 2021, and the related notes (collectively referred to as the “financial statements”). In our opinion, the accompanying financial statements present fairly, in all material respects, the financial position of the Company at December 31, 2023 and 2022, and the results of its operations and its cash flows for the years ended December 31, 2023 and 2022 and for the period from December 17, 2021 through December 31, 2021 in accordance with accounting principles generally accepted in the United States of America. Basis for Opinion We conducted our audits in accordance with auditing standards generally accepted in the United States of America (GAAS). Our responsibilities under those standards are further described in the Auditor’s Responsibilities for the Audit of the Financial Statements section of our report. We are required to be independent of the Company and to meet our other ethical responsibilities in accordance with the relevant ethical requirements relating to our audits. We believe that the audit evidence we have obtained is sufficient and appropriate to provide a basis for our audit opinion. Responsibilities of Management for the Financial Statements Management is responsible for the preparation and fair presentation of the financial statements in accordance with accounting principles generally accepted in the United States of America, and for the design, implementation, and maintenance of internal control relevant to the preparation and fair presentation of financial statements that are free of material misstatement, whether due to fraud or error. In preparing the financial statements, management is required to evaluate whether there are conditions or events, considered in the aggregate, that raise substantial doubt about the Company’s ability to continue as a going concern for one year after the date that the financial statements are available to be issued. Auditor’s Responsibilities for the Audit of the Financial Statements Our objectives are to obtain reasonable assurance about whether the financial statements as a whole are free of material misstatement, whether due to fraud or error, and to issue an auditor’s report that includes our opinion. Reasonable assurance is a high level of assurance but is not absolute assurance and therefore is not

Ernst & Young LLP One Commerce Square 2005 Market Street, Suite 700 Philadelphia, PA 19103 Tel: +1 215 448 5000 Fax: +1 215 448 4069 ey.com a guarantee that an audit conducted in accordance with GAAS will always detect a material misstatement when it exists. The risk of not detecting a material misstatement resulting from fraud is higher than for one resulting from error, as fraud may involve collusion, forgery, intentional omissions, misrepresentations, or the override of internal control. Misstatements are considered material if there is a substantial likelihood that, individually or in the aggregate, they would influence the judgment made by a reasonable user based on the financial statements. In performing an audit in accordance with GAAS, we: Exercise professional judgment and maintain professional skepticism throughout the audit. Identify and assess the risks of material misstatement of the financial statements, whether due to fraud or error, and design and perform audit procedures responsive to those risks. Such procedures include examining, on a test basis, evidence regarding the amounts and disclosures in the financial statements. Obtain an understanding of internal control relevant to the audit in order to design audit procedures that are appropriate in the circumstances, but not for the purpose of expressing an opinion on the effectiveness of the Company’s internal control. Accordingly, no such opinion is expressed. Evaluate the appropriateness of accounting policies used and the reasonableness of significant accounting estimates made by management, as well as evaluate the overall presentation of the financial statements. Conclude whether, in our judgment, there are conditions or events, considered in the aggregate, that raise substantial doubt about the Company’s ability to continue as a going concern for a reasonable period of time. We are required to communicate with those charged with governance regarding, among other matters, the planned scope and timing of the audit, significant audit findings, and certain internal control-related matters that we identified during the audit. March 28, 2024

LIGHTHOUSE RENEWABLE HOLDCO 2 LLC AND SUBSIDIARIES Consolidated Balance Sheets December 31, 2023 and 2022 (In thousands) Assets 2023 2022 Current assets: Cash $ 3,551 $ 4,981 Restricted cash 33,683 8,138 Accounts receivable – trade 9,722 1,077 Derivative instruments 1,644 — Prepayments and other current assets 1,914 469 Total current assets 50,514 14,665 Property, plant, and equipment, net 1,085,731 358,059 Other assets: Intangible asset 1,266 — Derivative instruments 2,761 — Right-of-use assets, net 82,921 33,597 Other non-current assets 4,769 1,980 Total other assets 91,717 35,577 Total assets $ 1,227,962 $ 408,301 Liabilities and Equity Current liabilities: Current portion of long-term debt $ 2,296 $ — Notes payable 17,939 — Notes payable – affiliate 4,744 — Accounts payable – trade 22,949 5,140 Accounts payable – affiliate 5,119 460 Accrued property and other taxes 4,861 4,106 Derivative instruments 23,958 9,236 Lease liabilities 524 168 Accrued and other current liabilities 2,480 975 Total current liabilities 84,870 20,085 Other liabilities: Long-term debt 98,590 — Derivative instruments 142,200 67,421 Deferred income taxes 839 1,034 Asset retirement obligations 18,650 1,022 Long-term lease liabilities 85,361 34,016 Tracking accounts 22,500 12,000 Total other liabilities 368,140 115,493 Total liabilities 453,010 135,578 Commitments and contingencies Equity: Members’ equity 184,635 42,675 Noncontrolling interest 590,317 230,048 Total equity 774,952 272,723 Total liabilities and equity $ 1,227,962 $ 408,301 See accompanying notes to consolidated financial statements. 3

LIGHTHOUSE RENEWABLE HOLDCO 2 LLC AND SUBSIDIARIES Consolidated Statements of Operations (In thousands) Year ended December 31, December 17, through December 31, 2023 2022 2021 Operating revenues: Total operating revenues $ (1,435) $ (33,896) $ 1,220 Operating costs and expenses: Cost of operations 16,650 14,984 113 Depreciation and accretion 20,316 19,522 4 Total operating costs and expenses 36,966 34,506 117 Operating (loss) income (38,401) (68,402) 1,103 Other income (expense): Other expense (5) — — Interest expense (1,664) (255) — Total other expense (1,669) (255) — (Loss) income before income taxes (40,070) (68,657) 1,103 Income tax (benefit) expense (1,719) 163 871 Net (loss) income (38,351) (68,820) 232 Less: net loss attributable to noncontrolling interest (13,797) (12,940) (114) Net (loss) income attributable to Lighthouse Renewable Holdco 2 LLC and subsidiaries $ (24,554) $ (55,880) $ 346 See accompanying notes to consolidated financial statements. 4

LIGHTHOUSE RENEWABLE HOLDCO 2 LLC AND SUBSIDIARIES Consolidated Statements of Equity (In thousands) Lighthouse Renewable HA Lighthouse Retained Class A LLC LLC earnings Contributed Contributed (Accumulated Noncontrolling Total capital capital deficit) interest equity Balance at December 17, 2021 $ — $ — $ — $ — $ — Net income (loss) — — 346 (114) 232 Acquisition of Mesquite Sky (120,072) — — 620 (119,452) Cash contributions 113,925 108,694 — — 222,619 Cash contributions from noncontrolling interests — — — 244,087 244,087 Non-cash distributions — — — (4,832) (4,832) Payment of transaction costs — — — (714) (714) Balance at December 31, 2021 $ (6,147) $ 108,694 $ 346 $ 239,047 $ 341,940 Net loss — — (55,880) (12,940) (68,820) Acquisition of Apex Clean Energy Holdings’ interests (16,030) — — 3,941 (12,089) Distribution to member of additional consideration paid to Clearway Renew (10,902) — — — (10,902) Cash contributions 8,288 14,703 — — 22,991 Cash distributions (397) — — — (397) Balance at December 31, 2022 $ (25,188) $ 123,397 $ (55,534) $ 230,048 $ 272,723 Net loss — — (24,554) (13,797) (38,351) Acquisition of Texas Solar Nova 1 (28,730) — — — (28,730) Mesquite Star Special net assets transferred from affiliate 47,847 15,180 — 228,457 291,484 Member loans transferred from affiliate (8,967) (8,598) — — (17,565) Cash contributions 63,894 108,742 — — 172,636 Cash contributions from noncontrolling interests — — — 148,244 148,244 Cash distributions (22,781) — — — (22,781) Payment of transaction costs — — — (2,846) (2,846) Non-cash contributions (distributions), net (73) — — 211 138 Balance at December 31, 2023 $ 26,002 $ 238,721 $ (80,088) $ 590,317 $ 774,952 See accompanying notes to consolidated financial statements. 5

LIGHTHOUSE RENEWABLE HOLDCO 2 LLC AND SUBSIDIARIES Consolidated Statements of Cash Flows (In thousands) Year ended December 31, December 17, through December 31, 2023 2022 2021 Cash flows from operating activities: Net (loss) income $ (38,351) $ (68,820) $ 232 Adjustments to reconcile net (loss) income to net cash (used) provided by operating activities: Depreciation and accretion 20,316 19,522 4 Reduction in carrying amount of right-of-use assets 814 599 — Contract amortization 154 154 6 Amortization of property tax abatement payments 162 — — Loss on disposal of assets (1,935) — — Income tax expense (1,719) 163 871 Changes in derivative instruments 6,217 34,425 (1,199) Cash provided (used) by changes in other working capital: Accounts receivable – trade 3,212 (440) (412) Prepayments and other current assets 423 (163) 376 Accounts payable – trade 1,696 2,037 (563) Accounts payable – affiliate (2,030) (399) 584 Accrued property and other taxes (1,097) 4,102 — Accrued and other current liabilities (1,163) 935 (216) Tracking accounts — 11,687 313 Operating lease liabilities (448) (164) — Net cash (used) provided by operating activities (13,749) 3,638 (4) Cash flows from investing activities: Acquisitions (20,040) — (61,012) Transfer from affiliate 2,079 — — Capital expenditures 3,172 (25,655) (3,066) Net cash used by investing activities (14,789) (25,655) (64,078) Cash flows from financing activities: Proceeds from issuance of debt 11,647 — — Payments of debt (259,680) — (355,150) Proceeds from issuance of notes payable 2,900 — — Payments for notes payable (367) — — Proceeds from issuance of notes payable – affiliate 2,900 — — Acquisition of noncontrolling interest — (12,089) — Distribution to member of additional consideration paid to Clearway Renew — (22,129) — Contributions from members 172,636 22,991 222,619 Contributions from noncontrolling interests 148,244 — 244,087 Distributions to members (22,781) (397) — Payment of transaction costs (2,846) — (714) Net cash provided (used) by financing activities 52,653 (11,624) 110,842 Net increase (decrease) in cash and restricted cash 24,115 (33,641) 46,760 Cash and restricted cash at beginning of year 13,119 46,760 — Cash and restricted cash at end of year $ 37,234 $ 13,119 $ 46,760 Non-cash investing and financing activities: Increase to accounts receivable – trade for insurance proceeds $ 4,314 $ — $ — Increase to fixed assets for accrued capital expenditures 574 — — Decrease to right-of-use assets due to lease remeasurements — (11,155) — See accompanying notes to consolidated financial statements. 6

(1) Nature of Business Lighthouse Renewable Holdco 2 LLC, or Lighthouse 2, or the Company, a Delaware limited liability company, was formed on November 5, 2021 and is a partnership between Lighthouse Renewable Class A LLC, or the Class A Member, a subsidiary of Clearway Energy Operating LLC, HA Lighthouse LLC, or HASI, a cash equity investor, and Clearway Renew LLC, or Clearway Renew, a direct wholly-owned subsidiary of Clearway Energy Group LLC, or Clearway Energy Group. Clearway Renew’s membership interests in Lighthouse 2 are not participating interests and provide for the potential future allocation of cash in the event of excess returns on investment to HASI. From November 5, 2021 through December 16, 2021, Lighthouse 2 had no activity. Clearway Energy Operating LLC is a wholly-owned subsidiary of Clearway Energy LLC, which is owned by Clearway Energy, Inc. and Clearway Energy Group. Clearway Energy Group is equally owned by Global Infrastructure Partners III and TotalEnergies SE. As of December 31, 2023, Clearway Energy, Inc., through its ownership of Class A and Class C common stock, had a 57.90% economic interest in Clearway Energy LLC, while Clearway Energy Group, through its ownership of Class B and Class D common stock, had a 54.91% voting interest in Clearway Energy, Inc. and a 42.10% economic interest in Clearway Energy LLC. BMP Wind LLC (Mesquite Sky) On December 17, 2021, through its consolidated subsidiaries (shown in the diagram below), Lighthouse 2 acquired BMP Wind LLC, referred to as Mesquite Sky, as further described in note 3, Acquisitions. Mesquite Sky is directly owned by the Company’s indirect subsidiary, Mesquite Sky TE Holdco LLC, or Mesquite Sky TE Holdco, a tax equity arrangement between Mesquite Sky Class B Holdco LLC, or Mesquite Sky Class B, and a third-party investor, BHE B Tax Equity Holdings LLC, or BHE B Tax Equity Holdings. Mesquite Sky owns and operates a 340-megawatt (MW) wind powered electricity-generating system comprised of Siemens Gamesa SG 5.0-145 MW turbines, or the Mesquite Sky Facility, located in Callahan County, Texas. The Mesquite Sky Facility achieved 100% commercial operations, or COD, on December 1, 2021. Concurrent with the acquisition on December 17, 2021, in accordance with the Equity Capital Contribution Agreement, or ECCA, between the members, BHE B Tax Equity Holdings made a contribution of $240.5 million and acquired the Class A membership interests in Mesquite Sky TE Holdco, whereas Mesquite Sky Class B retained the Class B membership interests. Tax equity proceeds were used for the repayment of debt assumed in the acquisition and transaction expenses. BHE B Tax Equity Holdings and HASI also transferred a combined $5.2 million into escrow as payment for one turbine not yet placed in service, which was subsequently paid to Clearway Renew in January 2022. LIGHTHOUSE RENEWABLE HOLDCO 2 LLC AND SUBSIDIARIES Notes to Consolidated Financial Statements December 31, 2023, 2022 and 2021 7

Mesquite Star Special LLC Effective on August 31, 2023 and pursuant to a Master Transfer Agreement, a separate partnership owned by the Company’s Class A Member, Lighthouse Renewable Holding Sub LLC, transferred its ownership interest in Mesquite Star Class B Holdco LLC, or Mesquite Star Class B, to the Company. Mesquite Star Class B owns the Class B membership interests Mesquite Star Tax Equity Holdco LLC, or Mesquite Star TE Holdco, a tax equity arrangement with third-party investor MidAmerican Wind Tax Equity Holdings LLC, or MidAmerican. Mesquite Star TE Holdco directly owns Mesquite Star Special, LLC, or Mesquite Star Special, who owns and operates a 418.9-MW wind powered electricity-generating system comprised of Siemens Gamesa SG3.55-132 MW turbines, a power collection system and power substation, or the Mesquite Star Special Facility, located in Fisher County, Texas. The Mesquite Star Special Facility achieved 100% COD on May 26, 2020. The assets and liabilities transferred to the Company relate to interests under common control by Clearway Energy Group and were recorded at historical cost in accordance with ASC 805-50, Business Combinations - Related Issues. This was concluded to be an asset acquisition and the Company consolidates Mesquite Star Special on a prospective basis in its financial statements. Simultaneously on August 31, 2023, a separate partnership owned by the Company’s Class A Member, Lighthouse Renewable Holdco LLC, transferred and assigned to the Company all of its rights and obligations under member loans, as further discussed in note 8, Notes Payable. The following is a summary of the assets and liabilities, excluding the member loans, transferred to the Company as of August 31, 2023 (in thousands): 2023 Assets: Cash $ 2,079 Property, plant, and equipment, net 395,566 Right-of-use assets, net 29,246 Other current and non-current assets 7,357 Total assets 434,248 Liabilities: Lease liabilities 33,614 Derivative liabilities 83,284 Tracking account 10,500 Other current and non-current liabilities 15,366 Total liabilities 142,764 Less: Noncontrolling interests 228,457 Net assets transferred $ 63,027 LIGHTHOUSE RENEWABLE HOLDCO 2 LLC AND SUBSIDIARIES Notes to Consolidated Financial Statements December 31, 2023, 2022 and 2021 8

Texas Solar Nova 1 LLC On December 28, 2023, through its consolidated subsidiaries (shown in the diagram below), Lighthouse 2 acquired Texas Solar Nova 1, LLC, or Texas Solar Nova 1, also referred to as TSN1, as further described in note 3, Acquisitions. TSN1 is directly owned by the Company’s indirect subsidiary, TSN1 TE Holdco LLC, or TSN1 TE Holdco, a tax equity arrangement between TSN1 Class B Member LLC, or TSN1 Class B, and a third-party investor, JPMorgan Chase Bank, N.A, or JPMorgan Chase. TSN1 owns and operates a 252-MW solar photovoltaic power generating facility, or the TSN1 Facility, located in Kent County, Texas. The TSN1 Facility achieved 100% COD on December 1, 2023. Concurrent with the acquisition on December 28, 2023, in accordance with the amended Equity Capital Contribution Agreement, or ECCA, between the members, JPMorgan Chase made a contribution of $148.2 million and acquired the Class A membership interests in TSN 1 TE Holdco, whereas TSN1 Class B retained the Class B membership interests. Tax equity proceeds were used for the repayment of debt assumed in the acquisition and transaction expenses. LIGHTHOUSE RENEWABLE HOLDCO 2 LLC AND SUBSIDIARIES Notes to Consolidated Financial Statements December 31, 2023, 2022 and 2021 9

The diagram below represents a summarized structure of the Company as of December 31, 2023: LIGHTHOUSE RENEWABLE HOLDCO 2 LLC AND SUBSIDIARIES Notes to Consolidated Financial Statements December 31, 2023, 2022 and 2021 10

A summary of the major agreements related to the Company is set forth below: Limited Liability Company Agreement The Company is governed by a limited liability agreement, or LLCA, executed on December 17, 2021, which was amended on March 18, 2022 and again on August 30, 2023. The LLCA provides for allocations of income, taxable items and available cash related to the Mesquite Sky and Mesquite Star Special facilities, which are 50.01% to Lighthouse Renewable Class A and 49.99% to HASI, except that allocations of available cash are first utilized to pay back member loans, if any. For the TSN1 Facility, allocations of income, taxable items and available cash are 50% to Lighthouse Renewable Class A and 50% to HASI until December 2033, then are 25% to Lighthouse Renewable Class A and 75% to HASI thereafter, also subject to the pay back of member loans, if any. In addition, subsequent to December 31, 2036, up to 100% of Lighthouse Renewable Class A’s cash may be allocated to HASI which provides a reallocation of cash in order to ensure that HASI achieves its target return on investment. If HASI achieves a return above a specified threshold, certain amounts may be allocated to Clearway Renew, through its ownership of the Class C membership interests. In the event that additional working capital is required by the Mesquite Sky Facility, the Mesquite Star Special Facility, or the TSN1 Facility, to cause the assets to be properly operated and maintained and pay for the costs, expenses, obligations and liabilities of the facility, and such amounts are not available from its reserves, then Lighthouse Renewable Class A and HASI have the right, but not the obligation, to participate in member loans to advance needed funds. See note 8, Notes Payable for information regarding member loans issued in 2023. In accordance with the provision of the LLCA, the Class A Member is the Manager, as defined, and conducts the activities of the Company on behalf of the members. The Manager has engaged Clearway Asset Services LLC to perform certain of its duties as Manager. All management services provided are at the direction of the Manager and the Manager retains its obligations with respect to its duties and responsibilities. See note 11, Related Party Transactions, for further detail. In addition, the LLCA establishes both a review committee, which is responsible for material decisions that protect the interests of both the Class A Member and Class B Member, and is comprised of two members appointed by each of the Class A Member and Class B Member, and an operations committee, which is responsible for advising the Company and the review committee with respect to the Company’s operations. LIGHTHOUSE RENEWABLE HOLDCO 2 LLC AND SUBSIDIARIES Notes to Consolidated Financial Statements December 31, 2023, 2022 and 2021 11

Mesquite Sky Agreements (a) ISDA Master Agreement Mesquite Sky and a third party are parties to an amended ISDA 2002 Master Agreement, dated as of December 30, 2020, and a Side Agreement, dated October 1, 2021, as amended, collectively the Sky Hedge Agreement. Under the Sky Hedge Agreement, Mesquite Sky is party to a 12-year agreement to sell power to a counterparty at a fixed price, which is utilized to manage the risk of fluctuations in market prices on sales of electricity. The energy-related commodity contract is accounted for as a derivative financial instrument as described in note 2(k), Derivative Financial Instruments. The Sky Hedge Agreement contains provisions providing the counterparty a lien on specific assets as collateral. Also see note 4, Accounting for Derivative Instruments and Hedging Activities, for further information. On January 14, 2022, July 27, 2022, and January 27, 2023, Mesquite Sky executed amendments to the energy-related commodity contract under the Sky Hedge Agreement. The amendments permitted the partial net settlement of contracted volumes to be delivered for various settlement intervals from January 16, 2022 through January 31, 2022, August 1, 2022 through August 31, 2022, and February 1, 2023 through February 28, 2023. The Company paid settlement fees to the counterparty for these amendments, which totaled $324 thousand and $3.1 million for the years ended December 31, 2023 and 2022, respectively, and were recorded as a reduction to operating revenues in the consolidated statements of operations. Mesquite Sky was permitted to utilize the tracking account liability to finance the cost of this settlement in 2022 and recorded the amounts as an increase to the tracking account liability. See Tracking Account below for further detail on the tracking account. Tracking Account The energy-related commodity contract contains provisions that allows for Mesquite Sky to receive additional money from the counterparty when the price of electricity at the interconnection point of the Mesquite Sky Facility is less than the price of electricity at the hub where Mesquite Sky is obligated to sell electricity (adjusted for actual generation delivered versus the quantity purchased at the hub). This mismatch is accumulated in a tracking account, which represents a liability that is due to the counterparty at the conclusion of the contract. Mismatch amounts received by Mesquite Sky increase the tracking account liability owed by Mesquite Sky up to the maximum liability of $12.0 million. When the calculated mismatch amount results in Mesquite Sky making a payment to the hedge counterparty, the amount may reduce the tracking account liability but only until the tracking account balance is paid in full. The balance in the tracking account accrues interest daily at a per annum rate equal to the Federal Funds effective published rate for that day plus an applicable margin of 3.0%. The interest incurred is recorded within interest expense in the consolidated statements of operations. Upon termination of the energy-related commodity contract on September 30, 2033, the tracking account balance will be settled between Mesquite Sky and the counterparty. If the tracking account balance is less than zero, then Mesquite Sky shall pay the counterparty the absolute value of the tracking account balance. As of both December 31, 2023 and 2022, Mesquite Sky recorded a liability for the tracking account balance of $12.0 million. As of LIGHTHOUSE RENEWABLE HOLDCO 2 LLC AND SUBSIDIARIES Notes to Consolidated Financial Statements December 31, 2023, 2022 and 2021 12

December 31, 2023, a subsidiary of Lighthouse Renewable Class A LLC, issued a letter of credit in favor of the hedge counterparty for $12.2 million. (b) Virtual Power Purchase Agreements Mesquite Sky is party to the following amended renewable energy purchase agreements, referred to as virtual power purchase agreements, or VPPAs, which provide for Mesquite Sky to receive or pay consideration for the delivery of electricity to the interconnection point and to sell the associated renewable energy credits, or RECs, based on the difference between the fixed price per MWh specified in each of the VPPAs and the relevant floating market price for each settlement interval, with upside sharing in the event that the floating market price exceeds the fixed price. Under the terms of the VPPAs, Mesquite Sky has guaranteed certain availability that if not achieved could result in the payment of shortfall amounts. See note 2(j) Revenue Recognition, for information on payment of availability damages. Contract Effective capacity VPPA VPPA offtaker date (MW) COD term (a) Deere & Company (b) 12/20/2019 48 12/01/2021 12 years Whirlpool Corporation (c) 7/09/2020 57 12/01/2021 15 years Deere & Company (b) 10/26/2020 63 12/01/2021 15 years 168 (a) VPPA term effective through 12th or 15th anniversary of COD. (b) Mesquite Sky issued surety bonds in favor of Deere & Company for $11.1 million as of December 31, 2023. (c) A subsidiary of Lighthouse Renewable Class A LLC, on behalf of Mesquite Sky, issued a letter of credit in favor of Whirlpool Corporation for $5.7 million as of December 31, 2023, which expires on December 17, 2024. (c) Turbine Supply and Construction Agreements Mesquite Sky commenced commercial operations on December 1, 2021 and had the amounts noted below outstanding related to turbine supply and construction agreements. All construction related costs have been capitalized and are reflected in property, plant, and equipment, net on the Company’s consolidated balance sheets. Mesquite Sky contracted with Blattner Energy, Inc., for the engineering, construction, and commissioning of its Mesquite Sky Facility for $112.4 million, that was subject to price adjustments as defined in the agreement. Amounts due to Blattner Energy, Inc. under this agreement of $12.1 million recorded as accounts payable – trade as of December 31, 2021 were paid during 2022, in addition to $1.9 million for work completed and paid during 2022. Mesquite Sky’s obligations have been fulfilled under this agreement. Mesquite Sky contracted with Siemens Gamesa Renewable Energy Wind, LLC, or Siemens, to supply, deliver, and commission, the wind turbine generators and towers for $220.8 million, that was subject to price adjustments as defined in the agreement. The agreement contains a warranty period LIGHTHOUSE RENEWABLE HOLDCO 2 LLC AND SUBSIDIARIES Notes to Consolidated Financial Statements December 31, 2023, 2022 and 2021 13

which generally covers an approximately two-year period commencing upon the completion of the commissioning of each wind turbine, with provisions for one-year renewal terms. Amounts due to Siemens under this agreement of $15.7 million were recorded as accounts payable – trade as of December 31, 2021, of which $11.5 million was paid during 2022, $1.2 million of change order credits were received from Siemens during 2022, and the remaining $3.0 million due to Siemens was recorded as accounts payable – trade as of December 31, 2022, and remained as of December 31, 2023. In February 2024, Mesquite Sky was released from this payment obligation by Siemens and Mesquite Sky’s obligations have been fulfilled under this agreement. (d) Siemens Gamesa Renewable Energy, Inc. Service and Warranty Agreement Mesquite Sky contracted with Siemens to provide certain warranty, maintenance, and repair services for the wind turbines. Payment provisions provide for an annual service fee per turbine plus escalation paid in quarterly installments. On July 11, 2022, Mesquite Sky’s service and warranty agreement with Siemens was amended and restated in its entirety, and further amended on February 23, 2024 to include additional scheduled and unscheduled services and to provide the tools, parts, equipment, and labor necessary to carry out the scheduled and unscheduled services. In addition, the amended and restated agreement provided for an increase in the annual service fee per turbine plus escalation for a selected period, an increase in the availability threshold, set annual limitations on availability liquidated damages, and set the term of the agreement to expire on July 11, 2032, unless extended until December 31, 2032, or terminated early as provided for in the agreement. Total gross fees incurred under this agreement were $3.0 million, $2.1 million, and $30 thousand for the years ended December 31, 2023 and 2022 and the period from December 17, 2021 through December 31, 2021, respectively. These costs are included in cost of operations in the consolidated statements of operations. Pursuant to the terms of the agreement with Siemens, the wind turbines are required to meet certain minimum availability thresholds. Failure to achieve minimum availability, as defined in the agreement, could result in payments due from Siemens to the Company. For the years ended December 31, 2023 and 2022, and the period from December 17, 2021 through December 31, 2021, Mesquite Sky received settlements of $552 thousand $0, and $0, respectively, for liquidated damages under the service and warranty agreement, which were recorded as a reduction to property, plant and equipment, net on the consolidated balance sheets and to capital expenditures included within cash flows from investing activities. Effective January 1, 2024, Mesquite Sky entered into a settlement agreement with Siemens for liquidated damages under the service and warranty agreement totaling $5.9 million for the period from July 11, 2022 through July 10, 2023 and for anticipated damages for the period from January 1, 2024 through July 10, 2024. (e) Tax Abatement Agreement Mesquite Sky is party to an amended Tax Abatement Agreement with Callahan County, Texas, in which Mesquite Sky is exempted from 100% of the property taxes on 165 MWs of certified appraised eligible property for ten years beginning on January 1, 2022 through December 31, 2031. The remaining MWs are not subject to the abatement and, therefore, subject to the normal property tax rates. As consideration for the abatement, Mesquite Sky is obligated to make ten annual LIGHTHOUSE RENEWABLE HOLDCO 2 LLC AND SUBSIDIARIES Notes to Consolidated Financial Statements December 31, 2023, 2022 and 2021 14

payments in lieu of taxes to Callahan County of two thousand dollars per MW, with the first payment due on October 1, 2022 and the remaining nine payments due annually thereafter on October 1. In addition, Mesquite Sky agreed to make improvements to the eligible property as defined in the agreement, which were completed as of COD. Mesquite Sky paid $330 thousand for each of the years ended December 31, 2023 and 2022, which was included in cost of operations in the consolidated statements of operations. Mesquite Star Special Agreements (a) ISDA Master Agreement Mesquite Star Special and a third party are parties to an ISDA 2002 Master Agreement, or Star Hedge Agreement, dated as of May 3, 2019, as amended. Under the Star Hedge Agreement, the Company is party to a 12-year agreement to sell power to a counterparty at a fixed price, which is utilized to manage the risk of fluctuations in market prices on sales of electricity. The energy-related commodity contract is accounted for as a derivative financial instrument as described in note 2(k) Derivative Financial Instruments. The Star Hedge Agreement contains provisions providing the counterparty a lien on specific assets as collateral. Also see note 4, Accounting for Derivative Instruments and Hedging Activities, for further information. Tracking Account The energy-related commodity contract contains provisions that allows for Mesquite Star Special to receive additional money from the counterparty when the price of electricity at the interconnection point of the Mesquite Star Special Facility is less than the price of electricity at the hub where Mesquite Star Special is obligated to sell electricity (adjusted for actual generation delivered versus the quantity purchased at the hub). This mismatch is accumulated in a tracking account, which represents a liability that is due to the counterparty at the conclusion of the contract. Mismatch amounts received by Mesquite Star Special increase the tracking account liability owed by Mesquite Star Special up to the maximum liability of $10.5 million. When the calculated mismatch amount results in Mesquite Star Special making a payment to the hedge counterparty, the amount may reduce the tracking account balance but only until the tracking account balance is paid in full. The balance in the tracking account accrues interest at Adjusted Secured Overnight Financing Rate, or Adjusted SOFR, plus an adjustment of 0.26161% and an applicable margin of 2.5%. The interest incurred is recorded within interest expense in the consolidated statements of operations. Upon termination of the energy-related commodity contract on May 31, 2032, the tracking account balance will be settled between the Mesquite Star Special and the counterparty. If the tracking account balance is less than zero, then the Mesquite Star Special shall pay the counterparty the absolute value of the tracking account balance. As of December 31, 2023 the Mesquite Star Special recorded a liability for the tracking account balance of $10.5 million. LIGHTHOUSE RENEWABLE HOLDCO 2 LLC AND SUBSIDIARIES Notes to Consolidated Financial Statements December 31, 2023, 2022 and 2021 15

(b) Virtual Power Purchase Agreements Mesquite Star Special is party to the following VPPAs, which provide for Mesquite Star Special to receive or pay consideration for the delivery of electricity to the interconnection point and to sell the associated RECs based on the difference between the fixed price per MWh specified in each of the VPPAs and the relevant floating market price for each settlement interval, with upside sharing in the event that the floating market price exceeds the fixed price. Under the terms of the VPPAs, Mesquite Star Special has guaranteed certain availability that if not achieved could result in the payment of shortfall amounts. See note 2(j) Revenue Recognition, for information on payment of availability damages. Contract Effective capacity VPPA VPPA offtaker date (MW) COD term (a) Brown University (b) 1/30/2019 8 5/26/2020 15 years Cisco Systems, Inc. (b) 2/15/2019 10 4/09/2020 12 years Ecolab Inc. (c) 9/14/2018 100 4/09/2020 15 years Intuit Inc. (b) 11/20/2018 10 4/09/2020 12 years Lowe’s Companies, Inc. (b) 4/27/2018 100 5/26/2020 12 years 228 (a) VPPA term commences first calendar day immediately following COD. (b) Clearway Energy Operating LLC provided a guaranty of timely payment in full of all amounts due and payable or to become due and payable by Mesquite Star Special to the offtaker through the earlier of termination of contract and payment of all obligations, delivery of replacement guaranty or letter of credit, or end of the VPPA term. The guaranties are capped at a total amount of $5.6 million. (c) Clearway Energy Operating LLC issued a letter of credit in favor of Ecolab Inc. for $7.5 million as of December 31, 2023 which expires on September 1, 2024. In addition, Clearway Energy Group provided a guaranty of timely payment of all amounts due and payable or to become due and payable by Mesquite Star Special to Ecolab Inc. through the earliest of the termination or expiration of the contract. This guaranty is capped at $6.6 million. (c) Siemens Gamesa Renewable Energy, Inc. Service and Warranty Agreement Mesquite Star Special is contracted with Siemens to provide certain warranty, maintenance, and repair services for the 118 wind turbines. Payment provisions provide for an annual service fee per turbine plus escalation paid in quarterly installments. On February 23, 2024, the agreement was amended to provide for adjustments to the annual service fee per turbine, availability thresholds, and annual limitations on availability liquidated damages. The term of the agreement expires on July 11, 2027, unless extended through December 31, 2032, or terminated early as provided for in the agreement. Total gross fees incurred under this agreement were $2.0 million for the year ended December 31, 2023. These costs are included in cost of operations in the consolidated statements of operations. LIGHTHOUSE RENEWABLE HOLDCO 2 LLC AND SUBSIDIARIES Notes to Consolidated Financial Statements December 31, 2023, 2022 and 2021 16

Pursuant to the terms of the agreement with Siemens, the wind turbines are required to meet certain minimum availability thresholds. Failure to achieve minimum availability, as defined in the agreement, could result in payments due from Siemens to the Company. Effective January 1, 2024, Mesquite Star Special entered into a settlement agreement with Siemens for liquidated damages under the service and warranty agreement totaling $1.7 million for the period from July 11, 2022 through July 10, 2023 and for anticipated damages for the period from January 1, 2024 through July 10, 2024. On September 27, 2023, Mesquite Star Special entered into a settlement agreement with Siemens for settlement of a dispute regarding the power curve guarantee provided for under a related turbine supply and commissioning agreement. Pursuant to the terms of the turbine supply and commissioning agreement, Siemens paid Mesquite Star Special $7.3 million in liquidated damages, which was recorded as a reduction to property, plant, and equipment, net on the consolidated balance sheet as of December 31, 2023, and to capital expenditures included within cash flows from investing activity. (d) Tax Abatement Agreements Mesquite Star Special is party to ten-year property tax abatement agreements with Fisher County, Texas for a property tax limitation based on the certified appraised value of certain eligible property within Fisher County from January 1, 2020 through December 31, 2029. As consideration for the abatement under certain of the agreements, Mesquite Star Special made payments totaling $4.9 million that are being amortized straight line over January 1, 2020 through December 31, 2029. Amortization is recorded as part of cost of operations in the consolidated statements of operations. At December 31, 2023, $486 thousand was recorded to prepayments and other current assets and $2.4 million was recorded to other non-current assets on the Company’s consolidated balance sheets. Mesquite Star Special is also obligated to make annual payments to Fisher County as defined in the remaining agreements beginning on January 1, 2020 through December 31, 2029, which are recorded as part of cost of operations in the consolidated statements of operations. LIGHTHOUSE RENEWABLE HOLDCO 2 LLC AND SUBSIDIARIES Notes to Consolidated Financial Statements December 31, 2023, 2022 and 2021 17

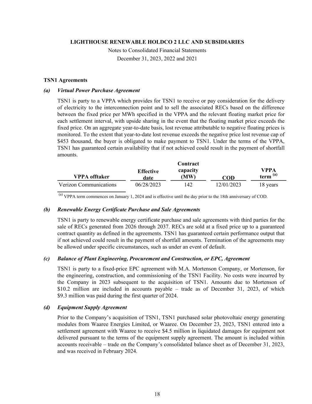
TSN1 Agreements (a) Virtual Power Purchase Agreement TSN1 is party to a VPPA which provides for TSN1 to receive or pay consideration for the delivery of electricity to the interconnection point and to sell the associated RECs based on the difference between the fixed price per MWh specified in the VPPA and the relevant floating market price for each settlement interval, with upside sharing in the event that the floating market price exceeds the fixed price. On an aggregate year-to-date basis, lost revenue attributable to negative floating prices is monitored. To the extent that year-to-date lost revenue exceeds the negative price lost revenue cap of $453 thousand, the buyer is obligated to make payment to TSN1. Under the terms of the VPPA, TSN1 has guaranteed certain availability that if not achieved could result in the payment of shortfall amounts. Contract Effective capacity VPPA VPPA offtaker date (MW) COD term (a) Verizon Communications 06/28/2023 142 12/01/2023 18 years (a) VPPA term commences on January 1, 2024 and is effective until the day prior to the 18th anniversary of COD. (b) Renewable Energy Certificate Purchase and Sale Agreements TSN1 is party to renewable energy certificate purchase and sale agreements with third parties for the sale of RECs generated from 2026 through 2037. RECs are sold at a fixed price up to a guaranteed contract quantity as defined in the agreements. TSN1 has guaranteed certain performance output that if not achieved could result in the payment of shortfall amounts. Termination of the agreements may be allowed under specific circumstances, such as under an event of default. (c) Balance of Plant Engineering, Procurement and Construction, or EPC, Agreement TSN1 is party to a fixed-price EPC agreement with M.A. Mortenson Company, or Mortenson, for the engineering, construction, and commissioning of the TSN1 Facility. No costs were incurred by the Company in 2023 subsequent to the acquisition of TSN1. Amounts due to Mortenson of $10.2 million are included in accounts payable – trade as of December 31, 2023, of which $9.3 million was paid during the first quarter of 2024. (d) Equipment Supply Agreement Prior to the Company’s acquisition of TSN1, TSN1 purchased solar photovoltaic energy generating modules from Waaree Energies Limited, or Waaree. On December 23, 2023, TSN1 entered into a settlement agreement with Waaree to receive $4.5 million in liquidated damages for equipment not delivered pursuant to the terms of the equipment supply agreement. The amount is included within accounts receivable – trade on the Company’s consolidated balance sheet as of December 31, 2023, and was received in February 2024. LIGHTHOUSE RENEWABLE HOLDCO 2 LLC AND SUBSIDIARIES Notes to Consolidated Financial Statements December 31, 2023, 2022 and 2021 18

(2) Summary of Significant Accounting Policies (a) Basis of Presentation and Principles of Consolidation The Company’s consolidated financial statements have been prepared in accordance with accounting principles generally accepted in the United States, or U.S. GAAP. The Accounting Standards Codification, or ASC, established by the Financial Accounting Standards Board, or FASB, is the source of authoritative U.S. GAAP to be applied by nongovernmental entities. The consolidated financial statements include the Company’s accounts and operations and those of its subsidiaries in which the Company has a controlling financial interest. All significant intercompany transactions and balances have been eliminated in the consolidated financial statements. The usual condition for a controlling financial interest is ownership of the majority of the voting interests of an entity. However, a controlling financial interest may also exist through arrangements that do not involve controlling voting interests. As such, the Company applies the guidance of ASC 810, Consolidations, to determine when an entity that is not controlled through its voting interests should be consolidated. (b) Restricted Cash The following table provides a reconciliation of cash and restricted cash reported within the consolidated balance sheets that sum to the total of the same such amounts shown in the consolidated statements of cash flows as of December 31, 2023 and 2022 (in thousands): 2023 2022 Cash $ 3,551 $ 4,981 Restricted cash 33,683 8,138 Cash and restricted cash shown in the consolidated statements of cash flows $ 37,234 $ 13,119 Restricted cash for 2023 primarily consists of funds held in reserves for performance obligations related to the completion of construction for the TSN1 Facility and the Mesquite Sky Facility, of which $20.0 million has been released during the first quarter of 2024. In addition, 2023 includes funds received from Siemens in accordance with the settlement agreement described in Mesquite Star Special note 1(c), Siemens Gamesa Renewable Energy, Inc. Service and Warranty Agreement. Restricted cash for 2022 primarily consisted of funds held in reserves for performance obligations related to the completion of construction for the Mesquite Sky Facility. (c) Accounts Receivable – Trade Trade accounts receivable are recorded at the invoiced amount and do not bear interest. The Company’s energy revenue related customers typically receive invoices monthly with payment due within 30 days. There was no allowance for credit losses as of December 31, 2023 and 2022. LIGHTHOUSE RENEWABLE HOLDCO 2 LLC AND SUBSIDIARIES Notes to Consolidated Financial Statements December 31, 2023, 2022 and 2021 19

(d) Property, Plant, and Equipment Property, plant, and equipment are stated at cost; however, impairment adjustments are recorded whenever events or changes in circumstances indicate that their carrying amounts may not be recoverable. Significant additions or improvements extending asset lives are capitalized as incurred, while repairs and maintenance that do not improve or extend the life of the respective asset are charged to expense as incurred. Depreciation is computed using the straight-line method over the estimated useful lives of the assets. Certain assets and their related accumulated depreciation amounts are adjusted for asset retirements and disposals with the resulting gain or loss included in cost of operations in the consolidated statements of operations. See note 5, Property, Plant, and Equipment, for additional information. (e) Asset Impairments Long-lived assets that are held and used are reviewed for impairment whenever events or changes in circumstances indicate their carrying amounts may not be recoverable. Such reviews are performed in accordance with ASC 360, Property, Plant, and Equipment. An impairment loss is indicated if the total future estimated undiscounted cash flows expected from an asset are less than its carrying amount. An impairment charge is measured as the excess of an asset’s carrying amount over its fair value with the difference recorded in operating costs and expenses in the consolidated statements of operations. Fair values are determined by a variety of valuation methods, including third-party appraisals, sales prices of similar assets, and present value techniques. There were no indicators of impairment loss as of December 31, 2023, 2022 and 2021. (f) Debt Issuance Costs Debt issuance costs consist of legal fees and closing costs incurred by TSN1 in obtaining its financing. These costs are capitalized and amortized as interest expense using the effective interest method over the term of the related debt, and are presented on the consolidated balance sheets as a direct deduction from the carrying amount of the related debt. There was no amortization expense recorded for the year ended December 31, 2023. (g) Intangible Asset Intangible asset represents the fair value of a software license acquired. The Company recognizes specifically identifiable intangible assets when specific rights and contracts are acquired. The asset is amortized on a straight-line basis over the term of the VPPA through 2041. See note 6, Intangible Asset, for additional information. (h) Leases The Company accounts for its leases under ASC 842, Leases, or ASC 842. ASC 842 requires the establishment of a lease liability and related right-of-use asset for all leases with a term longer than 12 months. The Company evaluates each arrangement at inception to determine if it contains a lease. The Company has elected to apply the practical expedient to not separate lease and non-lease components of the leases. LIGHTHOUSE RENEWABLE HOLDCO 2 LLC AND SUBSIDIARIES Notes to Consolidated Financial Statements December 31, 2023, 2022 and 2021 20

The Company records its operating lease liabilities at the present value of the lease payments over the lease term at lease commencement date. Lease payments include fixed payment amounts, as well as variable rate payments based on an index initially measured at lease commencement date. Variable payments, including payments based on future performance and based on index changes, are recorded when the expense is probable. The Company determines the relevant lease term by evaluating whether renewal and termination options are reasonably certain to be exercised. The Company uses its incremental borrowing rate to calculate the present value of the lease payments, based on information available at the lease commencement date. All of the Company’s leases are operating leases. See note 12, Leases for information on the Company’s leases. (i) Income Taxes The Company is classified as a partnership for federal and state income tax purposes. Therefore, federal and most state income taxes are assessed at the partner level. The state of Texas, however, imposes a franchise tax (characterized as an income tax for U.S. GAAP purposes) to which the Company’s subsidiaries are subject. For the years ended December 31, 2023 and 2022 and the period from December 17, 2021 through December 31, 2021, the Company had no current income tax expense and has calculated deferred income tax (benefit) expense of $(1.7) million, $163 thousand and $871 thousand, respectively. The Company has determined that, based on a more-likely-than not evaluation of the tax positions taken, there are no material uncertain tax positions to be recognized as of December 31, 2023, 2022 and 2021 by the Company. (j) Revenue Recognition Virtual Power Purchase Agreements The Company accounts for energy revenue recognized under the VPPAs in accordance with ASC 606, Revenue from Contracts with Customers, or ASC 606. Revenue from the sale of bundled RECs under the VPPAs is recognized when the related energy is generated and simultaneously delivered to the market, even in cases where there is a certification lag, as it has been deemed to be perfunctory as this is the point in time in which the performance obligation is satisfied and control of the REC is transferred to the customer. In such cases, it is often unnecessary to allocate transaction price to multiple performance obligations. For the years ended December 31, 2023 and 2022 and the period from December 17, 2021 through December 31, 2021, Mesquite Sky incurred $295 thousand, $1.5 million, and $0, respectively, in availability damages to the offtakers under the VPPAs. For the year ended December 31, 2023, Mesquite Star Special incurred $96 thousand in availability damages to the offtakers under the VPPAs. Availability damages were recorded as a reduction to operating revenues in the consolidated statements of operations. Merchant Revenue The Company sells uncontracted electricity into the Electric Reliability Council of Texas, or ERCOT, real-time market. This merchant electric revenue is recognized when the electricity is produced by the facilities and simultaneously delivered to ERCOT. LIGHTHOUSE RENEWABLE HOLDCO 2 LLC AND SUBSIDIARIES Notes to Consolidated Financial Statements December 31, 2023, 2022 and 2021 21

Unbundled Renewable Energy Certificates/Credits, or RECs Effective March 16, 2022, Mesquite Sky entered into an agreement with a third party for the sale of RECs generated from 2022 through 2026. RECs are sold at a fixed price up to a stated contract quantity as defined in the agreement. Revenue from the sale of the RECs is recognized when the related energy is generated and simultaneously delivered to the market, even in cases where there is a certification lag, as it has been deemed to be perfunctory as this is the point in time in which the performance obligation is satisfied and control of the REC is transferred to the customer. Termination of the agreement may be allowed under specific circumstances, such as under an event of default. Contract Amortization Included in other non-current assets on the consolidated balance sheets are capitalized costs to acquire the VPPAs at the Mesquite Sky Facility. The costs are amortized as a reduction to operating revenues on a straight-line basis over the terms of the VPPAs, through 2036. Derivative Revenue The Company accounts for the energy-related commodity contracts related to Mesquite Sky and Mesquite Star Special as derivative instruments in accordance with ASC 815, Derivatives and Hedging, or ASC 815, as described in note 2(k) below. As a result, the Company must mark the contracts to fair value each reporting period. The change in fair value of the energy-related commodity contracts is recorded to operating revenues. Also see note 4, Accounting for Derivative Instruments and Hedging Activities for further information on the energy-related commodity contracts. Disaggregated Revenues The following table summarizes the Company’s disaggregation of revenue from contracts with customers for the years ended December 31, 2023 and 2022 and the period from December 17, 2021 through December 31, 2021 (in thousands): 2023 2022 2021 Energy revenues (a) (b) $ 4,038 $ (658) $ 27 REC revenues 1,075 1,364 — Other revenues (177) (23) — Contract amortization (154) (154) (6) Mark-to-market for derivative instruments (c) (6,217) (34,425) 1,199 Total operating revenues $ (1,435) $ (33,896) $ 1,220 (a) As of December 31, 2023 and 2022, $391 thousand and $463 thousand, respectively, is included in accounts payable - trade related to amounts due to the counterparties of the VPPAs and the qualified scheduling entity. (b) Includes settlement fees of $324 thousand and $3.1 million in 2023 and 2022, respectively, as described in note 1, Nature of Business. (c) Represents the (losses) gains from the change in fair value of the derivative instrument in accordance with ASC 815. LIGHTHOUSE RENEWABLE HOLDCO 2 LLC AND SUBSIDIARIES Notes to Consolidated Financial Statements December 31, 2023, 2022 and 2021 22

Contract Balances The following table reflects the contract assets in the Company’s consolidated balance sheets as of December 31, 2023 and 2022 (in thousands): 2023 2022 Accounts receivable - contracts with customers $ 848 $ 274 Accounts receivable - derivative instruments 112 803 Accounts receivable - other (a) 8,762 — Total accounts receivable - trade $ 9,722 $ 1,077 (a) Included in 2023 are insurance proceeds, as described in note 5, Property, Plant, and Equipment, and liquidated damages due from Waaree, as described in note 1, TSN1 Agreements (d) Equipment Supply Agreement. (k) Derivative Financial Instruments The Company accounts for derivative financial instruments in accordance with ASC 815, which requires the Company to recognize all derivative instruments on the balance sheet as either assets or liabilities and to measure them at fair value each reporting period unless they qualify for a normal purchase normal sale exception. The Company is party to long-term energy-related commodity contracts which are not designated as cash flow or fair value hedges. Settlements and changes in the fair value of the energy-related commodity contracts are recognized in operating revenues. The Company uses interest rate swaps to manage its interest rate exposure on long-term debt, which are not designated as cash flow hedges. Changes in the fair value of non-hedge derivatives are immediately recognized in earnings. Cash flows from derivatives not designated as cash flow hedges are classified as operating activities in the consolidated statements of cash flows. See note 4, Accounting for Derivative Instruments and Hedging Activities, for more information. (l) Risks and Uncertainties Financial instruments which potentially subject the Company to concentrations of credit risk consist primarily of accounts receivable – trade and derivative financial instruments. Accounts receivable are concentrated with commercial customers and a private university. The concentration of sales to a small group of customers may impact the Company’s overall exposure to credit risk, either positively or negatively, in that the customers may be similarly affected by changes in economic, industry, or other conditions. However, the Company believes that the credit risk posed by such concentrations is offset by the creditworthiness of its customer base. The Company is also exposed to credit losses in the event of noncompliance by counterparties to its derivative financial instruments. Risks associated with the Company’s operations include the performance of the facilities below expected levels of efficiency and output, shutdowns due to the breakdown or failure of equipment, which could be further impacted by the inability to obtain replacement parts, or catastrophic events such as extreme weather, fires, earthquakes, floods, explosions, pandemics, or other similar occurrences affecting a power generation facility or its energy purchasers. LIGHTHOUSE RENEWABLE HOLDCO 2 LLC AND SUBSIDIARIES Notes to Consolidated Financial Statements December 31, 2023, 2022 and 2021 23

Should a generation facility fail to perform at the required levels, or other unplanned disruptions occur, the facility may be forced to fulfill an underlying contractual obligation by purchasing electricity at higher prices. In addition, the Company’s facilities may be exposed, based on specific contractual terms, to a locational basis risk resulting from a difference in the price received for generation sold at the location where the power is generated and the price paid for generation purchased at the contracted delivery point, which could lead to potential lower revenues in circumstances where the price received is lower than the price that is paid. (m) Fair Value of Financial Instruments The Company accounts for the fair value of financial instruments in accordance with ASC 820, Fair Value Measurement, or ASC 820. The Company does not hold or issue financial instruments for trading purposes. ASC 820 establishes a fair value hierarchy that prioritizes the inputs to valuation techniques used to measure fair value into three levels as follows: • Level 1 – Quoted prices (unadjusted) in active markets for identical assets or liabilities that the Company has the ability to access as of the measurement date. • Level 2 – Inputs other than quoted prices included within Level 1 that are directly observable for the asset or liability or indirectly observable through corroboration with observable market data. • Level 3 – Unobservable inputs for the asset or liability only used when there is little, if any, market activity for the asset or liability at the measurement date. In accordance with ASC 820, the Company determines the level in the fair value hierarchy within which each fair value measurement in its entirety falls, based on the lowest level input that is significant to the fair value measurement in its entirety. For cash, restricted cash, accounts receivable – trade, notes payable, notes payable – affiliate, accounts payable – trade, accounts payable – affiliate, and accrued and other current liabilities, the carrying amounts approximate fair value because of the short-term maturity of those instruments and are classified as Level 1 within the fair value hierarchy. LIGHTHOUSE RENEWABLE HOLDCO 2 LLC AND SUBSIDIARIES Notes to Consolidated Financial Statements December 31, 2023, 2022 and 2021 24

The carrying amount and estimated fair value of the Company’s recorded financial instrument not carried at fair market value or that does not approximate fair value as of December 31, 2023 and 2022 is as follows (in thousands): 2023 2022 Carrying Amount Fair Value Carrying Amount Fair Value Long-term debt, including current portion (a) $ 101,696 $ 100,878 $ — $ — (a) Excludes net debt issuance costs, as shown in note 7, Long-Term Debt. The fair value of long-term debt is based on expected future cash flows discounted at current interest rates for similar instruments with equivalent credit quality and is classified as Level 3 within the fair value hierarchy. Derivative instruments, consisting of interest rate swaps, are recorded at fair value on the Company’s consolidated balance sheets on a recurring basis and are classified as Level 2 within the fair value hierarchy as the fair value is determined using an income approach, which uses readily observable inputs, such as forward interest rates and contractual terms to estimate fair value. Derivative instruments, consisting of energy-related commodity contracts, are recorded at fair value on the Company’s consolidated balance sheets on a recurring basis and are classified as Level 3 within the fair value hierarchy. Management uses quoted observable forward prices, and to the extent that quoted observable forward prices are not available, the quoted prices reflect the average of the forward prices from the prior year, adjusted for inflation. The Company’s energy-related commodity contracts are executed in illiquid markets. The significant unobservable inputs used in developing fair value include illiquid power tenors and location pricing, which is derived by extrapolating pricing as a basis to liquid locations. The tenor pricing and basis spread are based on observable market data when available or derived from historic prices and forward market prices from similar observable markets when not available. The fair value of each contract is discounted using a risk-free interest rate. In addition, the Company applies a credit reserve to reflect credit risk, which for interest rate swaps is calculated using the bilateral method based on published default probabilities. For commodities, to the extent that the Company’s net exposure under a specific master agreement is an asset, the Company uses the counterparty’s default swap rate. If the net exposure under a specific master agreement is a liability, the Company uses a proxy of its own default swap rate. For interest rate swaps and commodities, the credit reserve is added to the discounted fair value to reflect the exit price that a market participant would be willing to receive to assume the Company’s liabilities or that a market participant would be willing to pay for the Company’s assets. As of December 31, 2023, the non-performance reserves were an $10.9 million gain recorded to total operating revenues in the consolidated statements of operations. For further discussion, see note 4, Accounting for Derivative Instruments and Hedging Activities. LIGHTHOUSE RENEWABLE HOLDCO 2 LLC AND SUBSIDIARIES Notes to Consolidated Financial Statements December 31, 2023, 2022 and 2021 25

(n) Commitments and Contingencies In the normal course of business, the Company is subject to various claims and litigation. Management of the Company expects that these various litigation items will not have a material adverse effect on the results of operations, cash flows, or financial position of the Company. (o) Asset Retirement Obligations The Company accounts for its asset retirement obligations, or AROs, in accordance with ASC 410-20, Asset Retirement Obligations, or ASC 410-20. Retirement obligations associated with long-lived assets included within the scope of ASC 410-20 are those for which a legal obligation exists under enacted laws, statutes, and written or oral contracts, including obligations arising under the doctrine of promissory estoppel, and for which the timing and/or method of settlement may be conditional on a future event. ASC 410-20 requires an entity to recognize the fair value of a liability for an ARO in the period in which it is incurred and a reasonable estimate of fair value can be made. Upon initial recognition of a liability for an ARO, other than when an ARO is assumed in an acquisition of the related long-lived asset, the Company capitalizes the asset retirement cost by increasing the carrying amount of the related long-lived asset by the same amount. Over time, the liability is accreted to its future value, while the capitalized cost is depreciated over the useful life of the related asset. See note 9, Asset Retirement Obligations, for further information. (p) Tax Equity Arrangements Certain portions of the Company’s noncontrolling interests in subsidiaries represent third-party interests in the net assets under certain tax equity arrangements, which are consolidated by the Company. The Company has determined that the provisions in the contractual agreements of these structures represent substantive profit sharing arrangements. Further, the Company has determined that the appropriate methodology for calculating the noncontrolling interest that reflects the substantive profit sharing arrangements is a balance sheet approach utilizing the hypothetical liquidation at book value, or HLBV, method. Under the HLBV method, the amounts reported as noncontrolling interests represent the amounts the tax equity investor would hypothetically receive at each balance sheet date under the liquidation provisions of the contractual agreements, assuming the net assets of the funding structures were liquidated at their recorded amounts determined in accordance with U.S. GAAP. The tax equity investor’s interest in the results of operations of the funding structures are determined as the difference in noncontrolling interests at the start and end of each reporting period, after taking into account any capital transactions between the structures and the funds’ investors. The calculations utilized to apply the HLBV method include estimated calculations of taxable income or losses for each reporting period. In addition, in certain circumstances, the Company and its partners in the tax equity arrangements agree that certain tax benefits are to be utilized outside of the tax equity arrangements, which may result in differences in the amount an investor would hypothetically receive at the initial balance sheet date calculated strictly in accordance with related contractual agreements. These differences are recognized in the consolidated statements of operations using a systematic and rational method over the period during which the investor is expected to achieve its target return. LIGHTHOUSE RENEWABLE HOLDCO 2 LLC AND SUBSIDIARIES Notes to Consolidated Financial Statements December 31, 2023, 2022 and 2021 26

(q) Comprehensive Income (Loss) The Company’s total comprehensive income (loss) is equal to net income (loss) for the years ended December 31, 2023 and 2022 and the period from December 17, 2021 through December 31, 2021. (r) Use of Estimates The preparation of the consolidated financial statements in conformity with U.S. GAAP requires management to make estimates and assumptions that affect the reported amounts of assets and liabilities and disclosures of contingent assets and liabilities at the date of the consolidated financial statements, and the reported amounts of revenues and expenses during the reporting period, including the fair value of the energy-related commodity contract derivatives. Actual results may differ from those estimates. (s) Reclassifications Certain prior year amounts have been reclassified for comparative purposes. (3) Acquisitions Texas Solar Nova 1 On December 28, 2023, the Company acquired TSN1 BL Borrower Holdco LLC, or TSN1 BL Borrower, the indirect owner of TSN1, from Clearway Renew. The Company’s members each contributed their portion of the purchase price for their respective interest in TSN1 BL Borrower. Lighthouse Renewable Class A LLC contributed cash consideration of $22.8 million and HASI contributed cash consideration of $108.7 million. In addition, the Company reflected contributions made by Clearway Renew to fund construction reserves of $18.3 million, and $22.8 million contributed back to the Company from Lighthouse Renewable Class A LLC and utilized to repay long-term debt, as cash contributions in the consolidated statements of equity. TSN1 BL Borrower, through its wholly-owned subsidiary, TSN1 Class B Member, is the primary beneficiary and consolidates its interests in the tax equity fund, TSN1 TE Holdco, that holds the TSN1 Facility, as further described in note 10, Variable Interest Entities. The acquisition was determined to be an asset acquisition and the Company consolidates TSN1 BL Borrower on a prospective basis in its financial statements. The assets and liabilities transferred to the Company relate to interests under common control by Clearway Energy Group and were recorded at historical cost in accordance with ASC 805-50, Business Combinations - Related Issues. The sum of the purchase price paid by Lighthouse Renewable Class A and the historical cost of the Company’s net liabilities assumed of $5.9 million was recorded as an adjustment to contributed capital on the Company’s consolidated statements of equity. LIGHTHOUSE RENEWABLE HOLDCO 2 LLC AND SUBSIDIARIES Notes to Consolidated Financial Statements December 31, 2023, 2022 and 2021 27

The following is a summary of assets and liabilities transferred in connection with the acquisition as of December 28, 2023 (in thousands): 2023 Assets: Cash $ 2,785 Property, plant, and equipment, net 361,650 Right-of-use assets, net 20,892 Derivative assets 4,405 Other current and non-current assets 6,299 Total assets acquired 396,031 Liabilities: Long-term debt (a) 348,919 Long-term lease liabilities 18,535 Other current and non-current liabilities 34,482 Total liabilities assumed 401,936 Net liabilities assumed $ (5,905) (a) Includes a $90.0 million construction loan, $109.1 million cash equity bridge loan and a $150.6 million tax equity bridge loan, offset by $0.8 million in unamortized debt issuance costs. See note 7, Long-term Debt, for further discussion of the long- term debt assumed in the acquisition. Mesquite Sky On December 17, 2021, the Company acquired the Class B membership interests in Mesquite Sky Holding LLC, or Mesquite Sky Holding, the indirect owner of Mesquite Sky, from Clearway Renew. Mesquite Sky Holding is a direct subsidiary of Lighthouse 2 and was a partnership between Lighthouse 2 and Apex Clean Energy Holdings, LLC. The Company’s members each contributed their portion of the purchase price, for their respective interest in Mesquite Sky Holding. Lighthouse Renewable Class A LLC paid cash consideration of $61.1 million and HASI paid cash consideration of $108.7 million, $107.1 million of which was paid on December 17, 2021 and an additional $1.6 million paid into an escrow account for the turbine not yet placed in service. On March 18, 2022, the Company acquired 100% of the Class A interests of Mesquite Sky Holding owned by Apex Clean Energy Holdings, LLC for $12.1 million. Effective with the acquisition, the Company owns 100% of Mesquite Sky Holding. The Company also paid $10.9 million to Clearway Renew as an additional purchase price for the acquisition of Mesquite Sky Holding. These payments were funded through contributions from the Company’s members comprised of $8.3 million from Lighthouse Renewable Class A LLC and $14.7 million from HASI. LIGHTHOUSE RENEWABLE HOLDCO 2 LLC AND SUBSIDIARIES Notes to Consolidated Financial Statements December 31, 2023, 2022 and 2021 28

Mesquite Sky Holding, through its wholly-owned subsidiary, Mesquite Sky Class B, is the primary beneficiary and consolidates its interests in the tax equity fund, Mesquite Sky TE Holdco, that holds the Mesquite Sky Facility, as further described in note 10, Variable Interest Entities. The acquisition was determined to be an asset acquisition and the Company consolidates Mesquite Sky Holding on a prospective basis in its financial statements. The assets and liabilities transferred to the Company relate to interests under common control by Clearway Energy Group and were recorded at historical cost in accordance with ASC 805-50, Business Combinations - Related Issues. The difference between the cash paid and the historical cost of the Company’s net liabilities assumed of $8.3 million was recorded as an adjustment to contributed capital on the Company’s consolidated statements of equity. In addition, the Company reflected additional contributions paid by Clearway Renew and the portion of the Company’s purchase price utilized to repay long-term debt, totaling $52.3 million, as cash contributions in the consolidated statements of equity, and as an impact of the acquisition of Mesquite Sky in members’ equity. The following is a summary of assets and liabilities transferred in connection with the acquisition as of December 17, 2021 (in thousands): 2021 Assets: Current assets (a) $ 45,739 Property, plant, and equipment, net 376,864 Right-of-use assets 45,351 Other non-current assets 7,093 Total assets acquired 475,047 Liabilities: Long-term debt (b) 355,150 Long-term lease liabilities 44,967 Derivative liabilities 43,431 Other current and non-current liabilities 39,796 Total liabilities assumed (c) 483,344 Noncontrolling interests 620 Net liabilities assumed less noncontrolling interests $ (8,917) (a) Includes $43.9 million reserved for facility completion costs included in restricted cash on the Company’s consolidated balance sheet at acquisition date, which is included within the $52.3 million described above. (b) Repaid at acquisition date utilizing $240.5 million contributed by BHE B Tax Equity Holdings, recorded as contributions in noncontrolling interest, $107.1 million contributed by HASI, reflected in contributed capital, as well as the Company’s $61.1 million acquisition price. Of the $408.7 million contributed, $355.1 million was utilized to pay down the acquired debt and $0.9 million was utilized to pay associated fees. In addition, $53.1 million was distributed to Clearway Renew. The net of the Company’s $61.1 million acquisition price and the distribution to Clearway Renew of $53.1 million are included within the $52.3 million contributed by Clearway Renew described above. (c) Total liabilities assumed excludes amounts due to Clearway Renew as of December 31, 2021 of $6.1 million, of which $5.2 million was received from BHE B Tax Equity Holdings and HASI and was held in escrow accounts as of December 31, 2021. LIGHTHOUSE RENEWABLE HOLDCO 2 LLC AND SUBSIDIARIES Notes to Consolidated Financial Statements December 31, 2023, 2022 and 2021 29

(4) Accounting for Derivative Instruments and Hedging Activities (a) Interest Rate Swaps TSN1 has entered into interest rate swaps, intended to hedge the risks associated with floating rate debt. TSN1 pays its counterparties the equivalent of a fixed interest payment on a predetermined notional amount, and quarterly, TSN1 receives the equivalent of a floating interest payment based on Term Secured Overnight Financing Rate, or Term SOFR, calculated on the same notional amount. The notional amount of the interest rate swaps decrease in proportion to the principal balance of the loan. The interest rate swaps have a fixed rate of 2.922% and mature in 2043. (b) Energy-Related Commodity Contracts Effective November 27, 2019, Mesquite Sky executed a 12-year agreement to sell power to a counterparty at a fixed price, that started on October 1, 2021. The energy-related commodity contract is intended to economically hedge Mesquite Sky Facility’s forecasted output through September 30, 2033. Effective May 3, 2019, Mesquite Star Special executed a 12-year agreement to sell power to a counterparty at a fixed price, that started on June 1, 2020. The energy-related commodity contract is intended to economically hedge Mesquite Star Special Facility’s forecasted output through May 31, 2032. (c) Volumetric Underlying Derivative Transactions The following table summarizes the net notional volume buy/(sell) of the Company’s open derivative transactions broken out by commodity as of December 31, 2023 and 2022: Total Volume (in thousands) Commodity Units 2023 2022 Power MWh (8,079) (4,326) Interest Dollars $ 95,686 $ — LIGHTHOUSE RENEWABLE HOLDCO 2 LLC AND SUBSIDIARIES Notes to Consolidated Financial Statements December 31, 2023, 2022 and 2021 30

(d) Fair Value of Derivative Transactions The following table summarizes the Company’s derivative assets and liabilities on the consolidated balance sheets as of December 31, 2023 and 2022 (in thousands): 2023 2022 Derivatives not designated as cash flow hedges: Derivative assets: Interest rate contracts current $ 1,644 $ — Interest rate contracts long-term 2,761 — Total derivative assets $ 4,405 $ — Derivative liabilities: Energy-related commodity contracts current $ 23,958 $ 9,236 Energy-related commodity contracts long-term 142,200 67,421 Total derivative liabilities $ 166,158 $ 76,657 (e) Derivative Fair Value Measurements The following table reconciles the beginning and ending balance of the energy-related commodity contracts that are recognized at fair value on the Company’s consolidated balance sheets using significant unobservable inputs (Level 3) for the years ended December 31, 2023 and 2022 and the period from December 17, 2021 through December 31, 2021 (in thousands): 2023 2022 2021 Beginning balance $ (76,657) $ (42,232) $ (43,431) Settlements 13,854 17,004 — Total (losses) gains for the period included in earnings (20,071) (51,429) 1,199 Transfer from affiliate (83,284) — — Ending balance $ (166,158) $ (76,657) $ (42,232) Change in unrealized losses included in operating revenues for derivatives held as of December 31, $ (20,071) $ (51,429) $ 1,199 LIGHTHOUSE RENEWABLE HOLDCO 2 LLC AND SUBSIDIARIES Notes to Consolidated Financial Statements December 31, 2023, 2022 and 2021 31

The following tables quantify the significant unobservable inputs used in developing the fair value of the Company’s Level 3 energy-related commodity contracts as of December 31, 2023 and 2022: December 31, 2023 Fair Value Input/Range Assets (in thousands) Liabilities (in thousands) Valuation technique Significant unobservable input Low High Weighted average $ — $ (166,158) Discounted cash flow Forward market price (per MWh) $ 18.18 $ 81.62 $ 38.15 December 31, 2022 Fair Value Input/Range Assets (in thousands) Liabilities (in thousands) Valuation technique Significant unobservable input Low High Weighted average $ — $ (76,657) Discounted cash flow Forward market price (per MWh) $ 21.25 $ 68.66 $ 35.63 The following table provides the impact on the fair value measurements to increases/(decreases) in significant unobservable inputs as of December 31, 2023: Type Significant observable input Position Change in input Impact of fair value measurement Energy-related commodity contracts Forward market price power Sell Increase/(Decrease) Lower/(Higher (f) Impact of Interest Rate Swaps on the Consolidated Statements of Operations Mark-to-market gains and losses related to the Company’s interest rate swaps are recorded to interest expense. There was no impact to the consolidated statements of operations during 2023. LIGHTHOUSE RENEWABLE HOLDCO 2 LLC AND SUBSIDIARIES Notes to Consolidated Financial Statements December 31, 2023, 2022 and 2021 32

(5) Property, Plant, and Equipment The Company’s major classes of property, plant, and equipment as of December 31, 2023 and 2022 were as follows (in thousands): 2023 2022 Depreciable lives Plant equipment $ 1,159,379 $ 358,378 10 - 35 years Buildings 5,308 2,941 28 - 30 years Land improvements 25,800 16,189 20 - 25 years Total property, plant, and equipment 1,190,487 377,508 Less accumulated depreciation (104,756) (19,449) Net property, plant, and equipment $ 1,085,731 $ 358,059 In October 2023, the Company retired one wind turbine at the Mesquite Star Special Facility that was determined to be irreparably damaged by a fire that occurred in March 2023 and recorded a loss on disposal of assets of $2.4 million. In December 2023, the Company recognized insurance proceeds of $4.3 million, which was recorded as an offsetting gain on disposal of assets and included in cost of operations in the consolidated statements of operations. At December 31, 2023, $4.3 million of insurance proceeds are included in accounts receivable – trade on the consolidated balance sheet, of which $545 thousand was subsequently received during the first quarter of 2024. As discussed in note 1, Nature of Business, Mesquite Star Special recorded liquidated damages of $7.3 million as a reduction to property, plant, and equipment, net on the consolidated balance sheet as of December 31, 2023, pursuant to a settlement agreement with Siemens under the turbine supply and commissioning agreement. (6) Intangible Asset As of December 31, 2023 and 2022, the intangible asset subject to amortization consists of the following (in thousands): 2023 2022 Software license $ 1,266 $ — Less accumulated amortization — — Net intangible asset $ 1,266 $ — There was no amortization expense recorded for the years ended December 31, 2023 and 2022 and the period from December 17, 2021 through December 31, 2021. Amortization will begin in January 2024 and will be recorded to cost of operations in the consolidated statements of operations. Estimated amortization expense for each of the next five years is $70 thousand. LIGHTHOUSE RENEWABLE HOLDCO 2 LLC AND SUBSIDIARIES Notes to Consolidated Financial Statements December 31, 2023, 2022 and 2021 33

(7) Long-Term Debt On December 28, 2023, as part of the acquisition of TSN1, as further described in note 3, Acquisitions, the Company assumed a financing agreement which included a $90.0 million construction loan, a $109.1 million cash equity bridge loan, and a $150.6 million tax equity bridge loan, offset by $810 thousand in unamortized debt issuance costs. At the acquisition date, the tax equity investor contributed $148.2 million, which was utilized, along with $22.8 million that was contributed back to the Company by Lighthouse Renewable Class A LLC, and the $108.7 million proceeds from the cash equity investor, to repay the cash equity bridge loan and the tax equity bridge loan, and to pay associated fees. Also at acquisition date, the construction loan was converted into a non-recourse term loan in the amount of $101.7 million, which includes an additional borrowing of $11.7 million. The final maturity date of the term loan is scheduled for December 28, 2028. On March 15, 2024, the financing agreement was amended, as further discussed in note 13, Subsequent Events. The term loan bears interest at a rate of Term SOFR plus an applicable margin, which is 1.75% per annum until the third anniversary of the term conversion, and 1.875% per annum thereafter through the term loan maturity date. The loans are secured by the Company’s interests in the TSN1 Facility. The financing agreement also provides for a letter of credit facility of up to $55.4 million, consisting of $14.2 million to support power purchase agreements, $6.3 million to support debt service requirements, and $34.9 million to support interconnection obligations. The Company pays on a quarterly basis a letter of credit fee ranging from 1.375% to 1.75% per annum on issued amounts under the letter of credit facility, a portion of which escalates by 0.125% on the third anniversary of term conversion. In addition, the Company pays quarterly commitment fees on any of the unused portions of the letter of credit commitments equal to 0.375% per annum. As of December 31, 2023, the amount of outstanding letters of credit totaled $55.2 million, of which $14.2 million supports the VPPA, $6.1 million supports debt service requirements, and $34.9 million supports interconnection obligations. The Company entered into interest rate swap agreements to hedge the majority of the variable interest rate exposure under the term loan. For further details regarding the interest rate swap agreements, see note 4, Accounting for Derivative Instruments and Hedging Activities. As of December 31, 2023 and 2022, long-term debt consists of the following (in thousands): 2023 2022 Total long-term debt (including current maturities) $ 101,696 $ — Less current maturities (2,296) — Less debt issuance costs, net (810) — Long-term debt $ 98,590 $ — LIGHTHOUSE RENEWABLE HOLDCO 2 LLC AND SUBSIDIARIES Notes to Consolidated Financial Statements December 31, 2023, 2022 and 2021 34

Annual payments based on the maturities of the Company’s debt as of December 31, 2023 are summarized as follows (in thousands): Year ending December 31: 2024 $ 2,296 2025 3,079 2026 3,458 2027 3,573 2028 89,290 $ 101,696 (8) Notes Payable Intercompany demand promissory notes issued by HASI are recorded as notes payable and intercompany demand promissory notes issued by Lighthouse Renewable Class A are recorded as notes payable – affiliate on the consolidated balance sheets. The notes can be repaid in whole or in part at any time and bear interest at 5.75% per annum, compounded quarterly. Interest is payable quarterly or at such other times as may be agreed upon by payor and payee. Effective August 31, 2023, pursuant to the terms of the Lighthouse Assignment and Assumption Agreement, the Company acquired and assumed from Lighthouse Renewable Holdco LLC, a separate partnership amongst the same members as the Company and another consolidated subsidiary of Lighthouse Renewable Class A, all of Lighthouse Renewable Holdco LLC’s rights, including any accrued and unpaid interest, and obligations in its capacity as payor under intercompany demand promissory notes, referred to as member loans. The member loans transferred to the Company, relating to the Mesquite Star Special Facility, consisted of principal and accrued interest of $8.6 million payable to HASI and $9.0 million payable to Lighthouse Renewable Class A. In connection with the transfer of the member loans, pursuant to a Lighthouse Members Assignment and Assumption Agreement, 75% of the member loans payable to Lighthouse Renewable Class A were assigned to HASI, in the amount of $6.7 million. During 2023, pursuant to permitted working capital loans under the LLCA, member loans were issued of $2.9 million from HASI and $2.9 million from Lighthouse Renewable Class A in support of the Mesquite Sky Facility. LIGHTHOUSE RENEWABLE HOLDCO 2 LLC AND SUBSIDIARIES Notes to Consolidated Financial Statements December 31, 2023, 2022 and 2021 35

(9) Asset Retirement Obligations The Company’s AROs are primarily related to future costs associated with site reclamation, facilities dismantlement, and removal of environmental hazards. The following table represents the balance of the AROs, along with the related activity for the year ended December 31, 2023 (in thousands): Balance as of December 31, 2022 $ 1,022 Liabilities transferred from affiliate 4,916 Acquired liabilities 12,530 Accretion expense 182 Balance as of December 31, 2023 $ 18,650 (10) Variable Interest Entities, or VIEs The Company has a controlling financial interest in certain entities which have been identified as VIEs under ASC 810, Consolidations. These arrangements are related to tax equity arrangements entered into with third parties in order to monetize certain tax credits associated with wind and solar facilities. Under the Company’s arrangements that have been identified as VIEs, the third-party investors are allocated earnings, tax attributes, and distributable cash in accordance with the respective limited liability company agreements. Many of these arrangements also provide a mechanism to facilitate achievement of the investor’s specified return by providing incremental cash distributions to the investor at a specified date if the specified return has not yet been achieved. The Company indirectly holds the Class B membership interests in several tax equity funds, which include Mesquite Sky TE Holdco, Mesquite Star TE Holdco and TSN1 TE Holdco. The following is a summary of significant activity during 2023, 2022 and 2021 related to the Company’s consolidated VIEs: Mesquite Sky TE Holdco As described in note 3, Acquisitions, on December 17, 2021, the Company acquired Mesquite Sky Holding, the indirect owner of the Class B membership interests of Mesquite Sky TE Holdco, a tax equity fund that owns the Mesquite Sky Facility. The Company, through its ownership of Mesquite Sky Holding, consolidates Mesquite Sky TE Holdco, which is a VIE, as it is the primary beneficiary through its role as the managing member. The Class A membership interests in Mesquite Sky TE Holdco are held by a tax equity investor, BHE B Tax Equity Holdings, and are reflected as noncontrolling interest on the Company’s consolidated balance sheets. LIGHTHOUSE RENEWABLE HOLDCO 2 LLC AND SUBSIDIARIES Notes to Consolidated Financial Statements December 31, 2023, 2022 and 2021 36

Mesquite Star TE Holdco As described in note 1, Mesquite Star Special LLC, on August 31, 2023, the Company was transferred the ownership interest in Mesquite Star Class B, the owner of the Class B membership interests of Mesquite Star TE Holdco, a tax equity fund that owns the Mesquite Star Special Facility. The Company, through its ownership of Mesquite Star Class B, consolidates Mesquite Star TE Holdco, which is a VIE, as it is the primary beneficiary through its role as the managing member. The Class A membership interests in Mesquite Star TE Holdco are held by a tax equity investor, MidAmerican, and are reflected as noncontrolling interest on the Company’s consolidated balance sheets. TSN1 TE Holdco As described in note 3, Acquisitions, on December 28, 2023, the Company acquired TSN1 BL Borrower, the indirect owner of the Class B membership interests of TSN1 TE Holdco, a tax equity fund that owns the TSN1 Facility. The Company, through its ownership of TSN1 BL Borrower, consolidates TSN1 TE Holdco, which is a VIE, as it is the primary beneficiary through its role as the managing member. The Class A membership interests in TSN1 TE Holdco are held by a tax equity investor, JPMorgan Chase, and are reflected as noncontrolling interest on the Company’s consolidated balance sheets. Summarized financial information for the Company’s consolidated VIEs as of December 31, 2023 consisted of the following (in thousands): Mesquite Sky TE Holdco Mesquite Star TE Holdco TSN1 TE Holdco Other current and non-current assets $ 44,411 $ 44,936 $ 44,841 Property, plant, and equipment, net 344,521 379,560 361,650 Intangible asset — — 1,266 Total assets 388,932 424,496 407,757 Current liabilities 29,215 28,069 15,534 Non-current liabilities 118,684 119,852 31,013 Total liabilities 147,899 147,921 46,547 Net assets $ 241,033 $ 276,575 $ 361,210 LIGHTHOUSE RENEWABLE HOLDCO 2 LLC AND SUBSIDIARIES Notes to Consolidated Financial Statements December 31, 2023, 2022 and 2021 37

Summarized financial information for the Company’s consolidated VIE as of December 31, 2022 consisted of the following (in thousands): Mesquite Sky TE Holdco Other current and non-current assets $ 49,569 Property, plant, and equipment, net 358,059 Total assets 407,628 Current liabilities 19,162 Non-current liabilities 115,494 Total liabilities 134,656 Net assets $ 272,972 (11) Related Party Transactions The Company has the following related party transactions and relationships, in addition to intercompany demand promissory notes described in note 8, Notes Payable. Amounts due to Clearway Energy Group subsidiaries are recorded as accounts payable – affiliate and amounts due to the Company from Clearway Energy Group subsidiaries are recorded as accounts receivable – affiliate on the Company’s consolidated balance sheets. These account balances are netted by affiliate party. Management Services Agreement Lighthouse 2 entered into a Management Services Agreement for asset management and administration services with Clearway Asset Services LLC, a subsidiary of Clearway Energy Group. The agreement has an initial term of ten years commencing on December 17, 2021 with provisions for extension until terminated. The agreement provides for the payment of fixed fees that escalate annually, as defined in the agreement, and for the reimbursement of reasonable expenses incurred in connection with its services. For the years ended December 31, 2023 and 2022 and the period from December 17, 2021 through December 31, 2021, Lighthouse 2 incurred costs of approximately $98 thousand, $114 thousand and $0, respectively, under this agreement. These costs are included in cost of operations in the consolidated statements of operations. Construction Management Agreement Mesquite Sky entered into a Construction Management Agreement with Renewables Construction LLC, or Renewables Construction, a subsidiary of Clearway Renew. Under the terms of the contract, Renewables Construction provided certain construction management and administrative services for the Mesquite Sky Facility. As full compensation for the services provided, Renewables Construction was entitled to payment of a service fee totaling $3.0 million. The service fee was payable in monthly installments commencing December 31, 2020 and ending on January 31, 2022. Total fees incurred under this agreement for the year ended December 31, 2022 and the period from December 17, 2021 through December 31, 2021 were $241 thousand and $93 thousand, respectively, all of which were capitalized and reflected in property, plant, and equipment, net on the Company’s consolidated balance sheets. Mesquite Sky’s obligations have been fulfilled under this agreement. LIGHTHOUSE RENEWABLE HOLDCO 2 LLC AND SUBSIDIARIES Notes to Consolidated Financial Statements December 31, 2023, 2022 and 2021 38

Operation & Maintenance Agreement Clearway Renewable Operation & Maintenance LLC, or RENOM, a subsidiary of Clearway Energy Group, provides operation and maintenance services to the facilities for the balance of plants not covered by maintenance and service agreements with third parties, pursuant to Operation and Maintenance Agreements, or O&M Agreements. The O&M agreements have an initial term expiring on May 17, 2029 for Mesquite Star Special, December 17, 2031 for Mesquite Sky, and October 24, 2032 for TSN1, with provisions for automatic five-year extensions until terminated. The O&M Agreements allow for reimbursement of mobilization expenses, commissioning and start-up expenses, and direct operating and capital improvement expenses, including a five percent markup. Additionally, there is an annual profit fee, subject to performance factors and annual escalation. On October 23, 2023, the Mesquite Sky and Mesquite Star Special O&M Agreements were amended and restated in their entirety, effectively retroactive to July 11, 2022. The amended and restated agreements provided for a downward adjustment to their annual profit fee per turbine. For the years ended December 31, 2023 and 2022 and the period from December 17, 2021 through December 31, 2021, the Company incurred costs of approximately $0.9 million, $1.6 million and $0, respectively, under these agreements. These costs are included in cost of operations in the consolidated statements of operations. Project Administrative Agreement Clearway Asset Services LLC provides administrative services to the facilities pursuant to Project Administrative Agreements. The agreements have an initial term of ten years commencing on May 7, 2019 for Mesquite Star Special, December 30, 2020 for Mesquite Sky, and October 24, 2022 for TSN1, with provisions for extension until terminated. The agreements provide for the payment of fixed fees that escalate annually, as defined in the agreements, and for the reimbursement of reasonable expenses incurred in connection with its services. For the years ended December 31, 2023 and 2022 and the period from December 17, 2021 through December 31, 2021, the Company incurred costs of approximately $422 thousand, $324 thousand and $12 thousand, respectively, under these agreements. These costs are included in cost of operations in the consolidated statements of operations. (12) Leases The facilities owned by the Company entered into various land lease and easement agreements. The terms and conditions for these leases vary by the type of underlying asset. Lease costs are included in cost of operations in the consolidated statements of operations. During 2022, Mesquite Sky changed the incremental borrowing rate and remeasured its operating lease liabilities and right-of-use assets, which resulted in a decrease to each balance of $11.2 million. LIGHTHOUSE RENEWABLE HOLDCO 2 LLC AND SUBSIDIARIES Notes to Consolidated Financial Statements December 31, 2023, 2022 and 2021 39

Lease expense for the years ended December 31, 2023 and 2022 and the period from December 17, 2021 through December 31, 2021 was comprised of the following (in thousands): 2023 2022 2021 Operating lease cost - Fixed $ 2,483 $ 1,797 $ 69 Operating lease cost - Variable 610 343 — Total lease cost $ 3,093 $ 2,140 $ 69 Operating lease information as of December 31, 2023 and 2022 was as follows (in thousands, except term and rate): 2023 2022 Right-of-use assets - operating leases, net $ 82,921 $ 33,597 Short-term lease liability - operating leases $ 524 $ 168 Long-term lease liability - operating leases 85,361 34,016 Total lease liabilities $ 85,885 $ 34,184 Weighted average remaining lease term 30 years 34 years Weighted average discount rate 3.97 % 3.50 % Year ended December 31, 2023 2022 Cash paid for operating leases $ 2,118 $ 1,360 Minimum future rental payments of operating lease liabilities as of December 31, 2023 are as follows (in thousands): 2024 $ 3,922 2025 4,085 2026 4,139 2027 4,309 2028 4,309 Thereafter 132,799 Total lease payments 153,563 Less imputed interest (67,678) Total lease liability - operating leases $ 85,885 LIGHTHOUSE RENEWABLE HOLDCO 2 LLC AND SUBSIDIARIES Notes to Consolidated Financial Statements December 31, 2023, 2022 and 2021 40

(13) Subsequent Events On March 15, 2024, TSN1 TE Holdco acquired Texas Solar Nova 2, LLC, or TSN2, a 200 MW solar facility that is located in Kent County, Texas, from TSN2 Holdings, LLC, a subsidiary of Clearway Renew, pursuant to a MIPA, dated August 30, 2023. TSN1 TE Holdco’s purchase price consisted of $111.9 million paid to the seller, $16.7 million of which was contributed by Lighthouse Renewable Class A LLC and $95.2 million was contributed by HASI. The tax equity partner, JPMorgan Chase, contributed $130.3 million in connection with the acquisition. On March 15, 2024, the net proceeds from the acquisition of TSN2 were contributed back to the Company from Clearway Energy Group and were utilized to repay the cash equity bridge loan and the tax equity bridge loan that were transferred in connection with the acquisition, along with related fees. Also on March 15, 2024, the Company’s financing agreement was amended to merge the project-level debt of TSN1 and TSN2 as a combined term loan. As a result, (i) the term loan facility increased by $80.3 million and the maturity date was extended to March 15, 2029 and (ii) the LC facility increased by $35.4 million, consisting of $11.4 million to support power purchase agreements, $5 million to support debt service requirements, $11.9 million to support interconnection obligations, and $7.1 million to support REC agreements, and the maturity date is extendable to March 15, 2029. The Company has evaluated subsequent events from the balance sheet date through March 28, 2024, the date at which the consolidated financial statements were available to be issued, and determined that there are no other items to disclose other than the events described elsewhere in the notes to consolidated financial statements. LIGHTHOUSE RENEWABLE HOLDCO 2 LLC AND SUBSIDIARIES Notes to Consolidated Financial Statements December 31, 2023, 2022 and 2021 41